相关习题
0 76554 76562 76568 76572 76578 76580 76584 76590 76592 76598 76604 76608 76610 76614 76620 76622 76628 76632 76634 76638 76640 76644 76646 76648 76649 76650 76652 76653 76654 76656 76658 76662 76664 76668 76670 76674 76680 76682 76688 76692 76694 76698 76704 76710 76712 76718 76722 76724 76730 76734 76740 76748 235360
科目:
来源:2010-2011学年河南省三门峡市义马二中九年级(上)期中物理试卷(解析版)
题型:解答题
在医院,每个病人的床头都设有一个开关可以单独呼叫,以便于医护人员及时对发生危险的病人进行及时救护.若某病房有4张床位,请你按要求在方框内画出你设计的电路图.每个病人的开关对应一个灯泡;②每个病人按下开关时,医护值班室内相应的灯泡就会亮起来.

查看答案和解析>>
科目:
来源:2010-2011学年河南省三门峡市义马二中九年级(上)期中物理试卷(解析版)
题型:解答题
在做串联电路的实验过程中,某同学发现,用不同个数的电池给灯泡供电,灯泡的亮度不同,请根据这一现象,进行下列探究实验:根据这一现象,某同学提出了“灯泡亮度与电流大小的关系”的探究课题:
(1)根据他提出的研究课题你的猜想是:______;
(2)设计实验证明你的猜想
①写出实验器材:______;
②在方框内画出实验电路图;
③简要写出实验步骤:
(3)设计实验数据记录表格.

查看答案和解析>>
科目:
来源:2010-2011学年河南省三门峡市义马二中九年级(上)期中物理试卷(解析版)
题型:解答题
如图是探究“电阻的大小与什么因素有关”的实物图.请你提出一个电阻的大小与什么因素有关的猜想,并回答其他问题.

(1)你的猜想:______.
(2)你选择的导线:______;(填图中导线代号)
(3)如果分别把图中的A、C导线接人电路中的M、N两点间,则接入______导线时,电流表的示数较小,这说明电阻的大小与导体的______有关.
查看答案和解析>>
科目:
来源:2010-2011学年河南省三门峡市义马二中九年级(上)期中物理试卷(解析版)
题型:解答题
人们常用电压表(又叫伏特表)和电流表(又叫安培表)来测量电阻大小,通常称之为伏安法测电阻.但在一次兴趣小组活动中,教师只给出了一个已知电阻R,一个未知电阻Rx,一块电流表和一个电压未知但恒定不变的电源,以及导线若干.请你设计一个实验求出未知电阻Rx的值.
(1)简要写出实验步骤和需测得的物理量;
(2)用已知物理量和测的得物理量表示未知电阻Rx.
查看答案和解析>>
科目:
来源:2010-2011学年河南省三门峡市义马二中九年级(上)期中物理试卷(解析版)
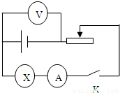
题型:解答题
在如图所示的电路中,已知电流表的示数为0.3A,如果小灯泡的电阻是10欧姆,整个电路里的电阻是30欧姆.求:
(1)小灯泡两端的电压;
(2)滑动变阻器连入电路中的电阻,并将滑动变阻器连入电路的部分画为阴影;
(3)伏特表的示数.

查看答案和解析>>
科目:
来源:2010-2011学年河南省三门峡市义马二中九年级(上)期中物理试卷(解析版)
题型:解答题

如图示电路,电源电压保持不变,电阻R
1=5Ω,R
2=15Ω.
(1)若开关S
l、S
2都断开时,电流表示数为0.2A,求电源的电压.
(2)若开关S
l、S
2都闭合时,电流表示数为0.9A,求通过电阻R
3的电流.
查看答案和解析>>
科目:
来源:2012-2013学年江苏省南京市旭东中学九年级(上)第二次段考物理试卷(A卷)(解析版)
题型:选择题
下列用品中,通常情况下属于导体的是( )
A.玻璃棒
B.塑料尺
C.橡皮
D.铁钉
查看答案和解析>>
科目:
来源:2012-2013学年江苏省南京市旭东中学九年级(上)第二次段考物理试卷(A卷)(解析版)
题型:选择题
下列说法中正确的是( )
A.导体的电阻跟它的长度无关
B.导体的电阻跟它的横截面积无关
C.导体的电阻跟它的材料无关
D.导体的电阻跟它两端的电压无关
查看答案和解析>>
科目:
来源:2012-2013学年江苏省南京市旭东中学九年级(上)第二次段考物理试卷(A卷)(解析版)
题型:选择题
当将滑动变阻器的滑片P向右移动时.如图中的哪一种连接方法可使变阻器连入电路部分的电阻增大( )

A.

B.

C.

D.

查看答案和解析>>
科目:
来源:2012-2013学年江苏省南京市旭东中学九年级(上)第二次段考物理试卷(A卷)(解析版)
题型:选择题
关于安全用电,以下说法正确的是( )
A.用湿布抹灯泡、电线
B.家庭电路属于低压电路是可以用手触摸
C.铁塔或高墙根下避雨
D.楼上安装避雷针
查看答案和解析>>