相关习题
 0  79618  79626  79632  79636  79642  79644  79648  79654  79656  79662  79668  79672  79674  79678  79684  79686  79692  79696  79698  79702  79704  79708  79710  79712  79713  79714  79716  79717  79718  79720  79722  79726  79728  79732  79734  79738  79744  79746  79752  79756  79758  79762  79768  79774  79776  79782  79786  79788  79794  79798  79804  79812  235360 

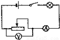
科目: 来源:2011-2012学年安徽省合肥市四十井中学九年级(上)期中物理试卷(解析版) 题型:选择题

如图所示,电源电压保持不变,当闭合开关后,滑动变阻器的滑片向左移动的过程中,下列说法正确的是( )

A.电流表示数变大,灯泡变亮
B.电流表示数变大,电压表示数变大,灯泡变暗
C.电压表示数变小,灯泡变亮
D.电流表示数变小,电压表示数变小,灯泡变暗

查看答案和解析>>

科目: 来源:2011-2012学年安徽省合肥市四十井中学九年级(上)期中物理试卷(解析版) 题型:选择题

在如图所示电路中,开关闭合时电路中的电流表没有示数,但电压表有示数,那么电路发生故障的原因可能是( )

A.灯泡L1灯丝断了
B.灯泡L2灯丝断了
C.灯泡L1短路
D.灯泡L2短路

查看答案和解析>>

科目: 来源:2011-2012学年安徽省合肥市四十井中学九年级(上)期中物理试卷(解析版) 题型:选择题

如图所示,“套圈”出手后,从a点到c点的过程中(不计空气阻力),下列说法正确的是( )

A.“套圈”由a到b过程中,动能逐渐增大
B.“套圈”在b点的机械能大于a点的机械能
C.“套圈”由b到c过程中,机械能逐渐变小
D.“套圈”由a到b再到c过程中,重力势能先变大后变小

查看答案和解析>>

科目: 来源:2011-2012学年安徽省合肥市四十井中学九年级(上)期中物理试卷(解析版) 题型:解答题

陈亮同学做“测定滑轮组机械效率”的实验记录情况如下,请仔细阅读,并回答问题:
①A.装配一定一动的滑轮组,由三股细绳承担着动滑轮;
B.记下钩码和栓弹簧秤的线端起始位置,然后______拉弹簧秤,读出拉力的大小,测出钩码和拴弹簧秤的线移动的距离;
C.将有关数据填下表并完成计算.
D.实验记录:
拉力F/N钩码重G/N线端移动的距离S/m钩码升起的高度h/m
1.613.9231
E.实验结论:
有用功W/J总功W/J机械效率η
      3.92      4.83      123%
②从实验结论看,明显不对之处是______,因为______,其正确结论是______.
③若改用两动两定的滑轮来提升原来的重物,则此时滑轮组的机械效率将______(选填“变大”、“变小”或“不变”)
④本实验中若没有刻度尺测高度及绳自由端的距离,则滑轮组的机械效率应按η=______来计算.

查看答案和解析>>

科目: 来源:2011-2012学年安徽省合肥市四十井中学九年级(上)期中物理试卷(解析版) 题型:填空题

某同学希望通过比较电路中不同位置的电流表的读数来研究串联电路的电流规律.所接电路图如下图所示,闭合开关后,两电流表指针偏转情况如图.

(1)电流表A2的读数是:   
(2)该同学发现电流表A1指针偏转较A2小,所以他认为“串联电路电流每流经一个用电器,电流都会减弱一些”.请你指出造成他判断错误的原因.   
(3)甲小组选用规格完全相同的灯泡串联进行探究实验,乙小组选用规格不同的灯泡串联进行多次实验,你认为    的方案较好,理由是   
(4)连接电路后,两灯泡都亮,由于连线较乱,一时无法确定电路是串联还是并联,以下两种简单判断方法是否可行?请你在表中空格填写“可行”或“不可行”.
方法操作现象结论方法是否可行
方法1把其中一灯泡从灯座中取下另一灯熄灭两灯一定是串联
方法2把任意一根导线断开两灯熄灭两灯一定是串联

查看答案和解析>>

科目: 来源:2011-2012学年安徽省合肥市四十井中学九年级(上)期中物理试卷(解析版) 题型:解答题

如图所示中的左图是邓海同学在“测量小灯泡电阻”的实验中所给的实物图,灯泡的额定电压为2.5V,电阻约为9Ω.

(1)连接电路时,开关应处于______状态,滑动变阻器的滑片应位于______端(选填A或B),这主要是为了避免电路中的______过大,以致于烧坏有关元件.
(2)此实验的原理是:______.
(3)在虚线框内画出实验电路图,并把图的实物对应连接起来.(滑动变阻器接线柱A必须使用)

查看答案和解析>>

科目: 来源:2011-2012学年安徽省合肥市四十井中学九年级(上)期中物理试卷(解析版) 题型:解答题

试推证:串联电路中,各导体两端的电压之比等于它们的电阻之比.

查看答案和解析>>

科目: 来源:2011-2012学年安徽省合肥市四十井中学九年级(上)期中物理试卷(解析版) 题型:解答题

如图所示的电路中,电源电压为18伏不变,滑动变阻器R2上标有“20Ω  2A”字样,闭合电键S,电流表A的示数为1安,电压表示数为4伏.求:
①电阻R1的阻值.
②电路中的最小电流I最小
③在电压表和电流表不改变量程的情况下,为使电路正常工作,滑动变阻器R2连入电路的阻值范围.

查看答案和解析>>

科目: 来源:2011-2012学年安徽省合肥市四十井中学九年级(上)期中物理试卷(解析版) 题型:填空题

2008年9月25日21:10,“神州七号”顺利升天,“神州七号”从地面升空的过程中,动能    ,势能    ,机械能    .(填“增大”“减小”“不变”)

查看答案和解析>>

科目: 来源:2011-2012学年安徽省合肥市四十井中学九年级(上)期中物理试卷(解析版) 题型:填空题

将一些小纸屑放在桌上,用塑料梳子在自己的头皮上摩擦一会儿,然后将塑料梳子靠近小纸屑.你会发现小纸屑    .这是因为    .实验室用    来检验物体是否带电,它是根据    的规律制成的.

查看答案和解析>>

同步练习册答案