相关习题
 0  79655  79663  79669  79673  79679  79681  79685  79691  79693  79699  79705  79709  79711  79715  79721  79723  79729  79733  79735  79739  79741  79745  79747  79749  79750  79751  79753  79754  79755  79757  79759  79763  79765  79769  79771  79775  79781  79783  79789  79793  79795  79799  79805  79811  79813  79819  79823  79825  79831  79835  79841  79849  235360 

科目: 来源:2010-2011学年云南省昆明三中九年级(上)期中物理试卷(解析版) 题型:解答题

某实验小组在进行“观察水的沸腾”的实验.

时间(min)45678910111213
温度(℃)90919397989898989898
(1)图中所示的温度是______℃.
(2)观察到水沸腾前和沸腾时水中气泡的上升情况不同,如图a、b所示.则图中______是水在沸腾前的情况,图中______是水在沸腾时的情况.
(3)小组记录的实验数据如表所示:从记录的数据可得出的实验结论是:此时水沸腾的温度是______℃.实验得到的结论与水在标准大气压下的沸点100℃有明显的差异,其原因可能是此时液面上的气压______一个标准大气压(选填“大于”、“小于”或“等于”).

查看答案和解析>>

科目: 来源:2010-2011学年云南省昆明三中九年级(上)期中物理试卷(解析版) 题型:解答题

同学,为了研究物体温度升高时吸收热量的多少与哪些因素有关,做了如下实验:在四个相同的烧杯中分别盛有水和煤油,用同样的加热器加热,下表是他们的实验记录,根据实验记录,回答下列问题.
烧杯号液体质量(g)初温(℃)末温(℃)加热时间(min)
120020288
210020284
3煤油20020284
4煤油20020242

(1)比较1、2两烧杯的实验记录,得出的结论是______.
(2)比较3、4两烧杯的实验记录,得出的结论是______.
(3)比较1、3两烧杯的实验记录,得出的结论是______.
(4)综合上述结论,物体温度升高时吸收的热量的多少与______有关.

查看答案和解析>>

科目: 来源:2010-2011学年云南省昆明三中九年级(上)期中物理试卷(解析版) 题型:解答题

育才中学物理兴趣小组同学们设计了一个测量小灯泡电流的实验,并完成下列实验步骤:
A.画出电路图,并按照电路图,连接实物      B.记录数据,整理器材
C.合上开关试触,发现电流表的指针偏转较小  D.电流表量程选“(0~3)A”接入电路
E.电流表量程选“(0~0.6)A”接入电路
(1)请将上述实验步骤按正确的顺序排列:______.
(2)据图1可知,小灯泡中的电流为______A.
(3)在图2中画出本实验的电路图;
(4)用笔画线代替导线将如图3中的实物按电路图连接好.

查看答案和解析>>

科目: 来源:2010-2011学年云南省昆明三中九年级(上)期中物理试卷(解析版) 题型:解答题

小芳同学在探究“决定导体电阻大小的因素”时,做出了如下猜想:
猜想①:在温度不变时,导体的电阻与导体的材料有关;
猜想②:在温度不变时,导体的电阻与导体的长度有关;
猜想③:在温度不变时,导体的电阻与导体的横截面积有关.
供她选择的导体如下表所示:请完成下列填空(只填序号):
序号材料长度(m)横截面积(mm2
A镍铬合金0.80.5
B锰铜0.81
C锰铜0.80.5
D锰铜1.20.5
(1)要验证猜想①,小芳同学应选择的两段导体是______(选填材料的序号),
(2)要验证猜想②,小芳同学应选择的两段导体是______(选填材料的序号),
(3)要验证猜想③,小芳同学应选择的两段导体是______(选填材料的序号).
(4)这种物理研究方法,通常叫做______.

查看答案和解析>>

科目: 来源:2010-2011学年云南省昆明三中九年级(上)期中物理试卷(解析版) 题型:解答题

质量是50kg的水,温度从10℃升高到50℃,需要吸收多少热量?[已知水的比热容c=4.2×103J/].

查看答案和解析>>

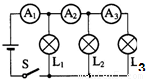
科目: 来源:2010-2011学年云南省昆明三中九年级(上)期中物理试卷(解析版) 题型:解答题

如图所示,当开关S闭合后,电流表A1、A2、A3的示数分别为1.2A、1A、0.6A,则通过L1、L2、L3的电流分别是多大?

查看答案和解析>>

科目: 来源:2010-2011学年云南省昆明三中九年级(上)期中物理试卷(解析版) 题型:解答题

如图所示,电压表V1的示数为2.5V,电压表V的示数为4.5V,电流表A的示数为0.2A,则电压表V2的示数是多少?通过L1的电流是多少?

查看答案和解析>>

科目: 来源:2010-2011学年云南省昆明三中九年级(上)期中物理试卷(解析版) 题型:填空题

完全燃烧2.1kg酒精(热值q=3×107J/kg)放出多少热量?若这些热量有50%被500kg的水吸收,可使水的温度上升多少?)

查看答案和解析>>

科目: 来源:2010-2011学年广东省汕头市潮阳实验学校九年级(上)物理寒假作业(解析版) 题型:选择题

感知身边的物理--下列估计值较正确的是( )
A.一枝圆珠笔从课桌上掉到地上大约需2s的时间
B.一个中学生的每只脚的面积约0.4m2
C.人的密度约1g/cm3
D.一张作业本的纸的厚度约1mm

查看答案和解析>>

科目: 来源:2010-2011学年广东省汕头市潮阳实验学校九年级(上)物理寒假作业(解析版) 题型:选择题

下列选项中,一定具有动能的是( )
A.汽车
B.飞机
C.巨浪
D.小鸟

查看答案和解析>>

同步练习册答案