相关习题
 0  80494  80502  80508  80512  80518  80520  80524  80530  80532  80538  80544  80548  80550  80554  80560  80562  80568  80572  80574  80578  80580  80584  80586  80588  80589  80590  80592  80593  80594  80596  80598  80602  80604  80608  80610  80614  80620  80622  80628  80632  80634  80638  80644  80650  80652  80658  80662  80664  80670  80674  80680  80688  235360 

科目: 来源:2011-2012学年北京市西城区(北区)九年级(上)期末物理试卷(解析版) 题型:解答题

在上海世界博览会的中国国家馆内,“水的流动”贯穿了展览的各个层面.目前,水资源的利用已成为各国探讨的热点.请回答以下问题:
(1)水具有的动能属于______再生能源.(选填“可”或“不可”)
(2)水具有比热容大的特点.以下现象中能用此特点解释的是______.(选填序号)
A.可以用循环流动的水冷却汽车发动机
B.寒冬季节,放在室外装满水的玻璃瓶会破裂
C.0℃的冰熔化成0℃水的过程中要吸收大量的热.

查看答案和解析>>

科目: 来源:2011-2012学年北京市西城区(北区)九年级(上)期末物理试卷(解析版) 题型:解答题

在学习了有关电阻的知识后,物理兴趣小组的同学们在研究食盐水的导电性能时,提出以下猜想:食盐水的导电性能
①与食盐水的浓度有关;②与两金属片在食盐水中的距离有关;③与两金属片进入食盐水中的深度有关.

为了验证上述猜想,同学们利用稳压电源、定值电阻、电流表、金属片和浓度不同的食盐水等设计了如图所示的装置.将电路中的两金属片a和b依次放入甲、乙、丙、丁食盐水中图示的位置,食盐水的导电性能由电路中电流表示数的大小来判断.
(1)为了验证猜想①,应比较金属片在______两图所示位置时电流表的示数;
(2)金属片在乙、丙两图所示位置时,若两次电流表的示数不同,就验证了猜想______是正确的.

查看答案和解析>>

科目: 来源:2011-2012学年北京市西城区(北区)九年级(上)期末物理试卷(解析版) 题型:解答题

如图所示的电路中,R1和R2是两段电阻丝,且电阻值R1>R2.在两段电阻丝上各
夹一根火柴,移动滑动变阻器的滑片P,使滑动变阻器接入电路的电阻值比较小,然后闭合开关S,经过时间t,电阻丝R1上的火柴先被点燃.这说明在通电时间和______相同时,电流通过导体产生热量的多少与______的大小有关.

查看答案和解析>>

科目: 来源:2011-2012学年北京市西城区(北区)九年级(上)期末物理试卷(解析版) 题型:解答题

小华根据实验数据绘制了电阻R2随电阻R1变化的图象,如图所示.请你根据该图象和已有知识判断:当电阻R1=74Ω时,电阻R2=______Ω.

查看答案和解析>>

科目: 来源:2011-2012学年北京市西城区(北区)九年级(上)期末物理试卷(解析版) 题型:解答题

小明想利用一块已经调好的电压表和阻值已知的电阻R等符合实验要求的器材,测量电阻RX的电阻值.他连接的部分电路如图所示.
(1)请你添加两根导线,把开关S2和S3连入电路,完成实验电路连接.
(2)开关S1、S3闭合,S2断开时,电压表的示数为U1;开关S1、S2闭合,S3断开时,电压表的示数为U2.请你利用U1、U2和R表示Rx.RX=______.

查看答案和解析>>

科目: 来源:2011-2012学年北京市西城区(北区)九年级(上)期末物理试卷(解析版) 题型:解答题

在探究“通过导体的电流跟导体电阻的关系”实验中,小亮根据实验目的设计出实验电路图,并按电路图连接实验器材如图1所示.

(1)请你根据实物电路连接情况画出小亮设计的实验电路图.
(2)当电阻箱的示数为10Ω时,闭合开关S后,电压表的示数为12V,电流表无示数.无论小亮怎样移动滑动变阻器的滑片P,电压表和电流表的示数都无变化.经检查,电压表和电流表均完好.小华提醒小亮,电路中有故障.小亮排除了电路故障后,保持电阻箱的示数为10Ω,并将滑动变阻器的滑片P移至A端,闭合开关S后,电流表的示数为0.2A.则滑动变阻器的最大阻值为______Ω.
(3)在实验中,当电阻箱接入电路的阻值改变后,移动滑动变阻器的滑片P,可使电阻箱两端的电压保持6V不变.当小亮将电阻箱的阻值由20Ω调为30Ω时,为保持电阻箱两端电压不变,应将滑动变阻器的滑片向______端移动.(选填“A”或“B”)
(4)当电阻箱接入电路的阻值为60Ω时,小亮发现无论怎样移动滑动变阻器的滑片P,电压表的示数始终无法达到6V.此时小亮应采取的措施是______.(选填序号)
A.更换一块新的电压表
B.调节电源的输出电压到16V
C.用“1A  100Ω”的滑动变阻器替换原来的滑动变阻器
(5)在实验中,当电阻箱的阻值调节为某一值时,电流表的示数如图2所示,请在表格中填写此时电阻箱接入电路的电阻值和电路中的电流值.
U/V666666
R/Ω1012______203060
I/A0.60.5______0.30.20.1
(6)请根据表格中的数据归纳通过导体的电流跟导体电阻的关系:在______的条件下,I=______.

查看答案和解析>>

科目: 来源:2011-2012学年北京市西城区(北区)九年级(上)期末物理试卷(解析版) 题型:解答题

实验桌上有如下实验器材:满足实验要求的电源一个、已调零的电流表和电压表各一块、开关一个、各种阻值已知的定值电阻和导线若干.请你利用上述器材设计一个实验证明:“当通过电阻的电流保持不变时,电阻消耗的电功率与该电阻的阻值成正比”.要求:
(1)画出实验电路图;
(2)写出实验步骤;
(3)设计出实验数据记录表.

查看答案和解析>>

科目: 来源:2011-2012学年北京市西城区(北区)九年级(上)期末物理试卷(解析版) 题型:解答题

某种电热暖手宝中装有质量为0.5kg的水,通电后水的温度从10℃升高到70℃.求:水吸收的热量.[水的比热容为4.2×103J/].

查看答案和解析>>

科目: 来源:2011-2012学年北京市西城区(北区)九年级(上)期末物理试卷(解析版) 题型:解答题

某种型号的电热饮水机如图甲所示.图乙是它的电路原理图,其中电热丝R1与R2的阻值不变.温控开关S可以根据热水箱中水的温度,自动控制饮水机处于加热状态或是保温状态.下表是这台电热饮水机的铭牌.
水桶容量20L
热水箱容量1L
额定电压220V
加热功率440W
保温功率40W
请画出相关电路状态的等效电路图,并求:
(1)在加热状态下,饮水机正常工作时电路中的电流;
(2)饮水机在加热状态下正常工作15min所消耗的电能为多少度;
(3)电热丝R1、R2的电阻值.

查看答案和解析>>

科目: 来源:2011-2012学年北京市西城区(北区)九年级(上)期末物理试卷(解析版) 题型:解答题

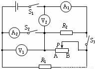
如图所示的电路图中,电源两端电压保持不变,滑动变阻器的最大阻值为R3.若只闭合开关S1,将滑动变阻器的滑片P置于A端时,电压表V1的示数为U1,电压表V2的示数为U2;若此时将滑动变阻器的滑片P移至B端,电压表V1的示数变为U1′,电压表V2的示数变为U2′,电流表A1的示数为0.4A.已知U1:U1′=1:2,U2:U2′=3:1,R2=3Ω.
求:
(1)电阻R1的阻值;
(2)电源两端电压U;
(3)当开关都闭合,滑动变阻器的滑片P置于B端时,电流表A2的示数.

查看答案和解析>>

同步练习册答案