相关习题
0 83090 83098 83104 83108 83114 83116 83120 83126 83128 83134 83140 83144 83146 83150 83156 83158 83164 83168 83170 83174 83176 83180 83182 83184 83185 83186 83188 83189 83190 83192 83194 83198 83200 83204 83206 83210 83216 83218 83224 83228 83230 83234 83240 83246 83248 83254 83258 83260 83266 83270 83276 83284 235360
科目:
来源:2009-2010学年江西省师大附中九年级(上)月考物理试卷(解析版)
题型:选择题
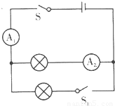
在如图示的电路中,闭合S,当开关S
1从断开到闭合的过程中,下列说法中正确的是( )

A.S
1闭合后电流表A
1、A
2示数相等
B.S
1闭合后电流表A
1的示数比A
2大
C.S
1闭合后电流表A
2示数变小
D.S
1闭合后电流表A
1的示数比A
2小
查看答案和解析>>
科目:
来源:2009-2010学年江西省师大附中九年级(上)月考物理试卷(解析版)
题型:选择题
我们家里用的白炽灯泡的灯丝断开后,可把断头搭接起来继续使用,这时灯丝的( )
A.电阻变大
B.电阻变小
C.电流增大
D.电压减小
查看答案和解析>>
科目:
来源:2009-2010学年江西省师大附中九年级(上)月考物理试卷(解析版)
题型:选择题
如图所示电路中电源电压不变,当S闭合,且滑片P向左滑动时,各电表示数的变化情况是:( )

A.A
1表读数不变
B.A
2表读数变大
C.V
1表读数变大
D.V
2表读数变小
查看答案和解析>>
科目:
来源:2009-2010学年江西省师大附中九年级(上)月考物理试卷(解析版)
题型:填空题
滑动变阻器的原理是通过改变连入电路中的 来改变 的.为了使滑动变阻器对电路起到保护作用,一般将它 联在电路中,并且通常在使用前将滑片调到 的位置上.
查看答案和解析>>
科目:
来源:2009-2010学年江西省师大附中九年级(上)月考物理试卷(解析版)
题型:填空题
使用电压表时应该和被测用电器 联,如果被测电压超过了电压表的最大测量值,不仅测不出电压值,甚至会 电压表.在不能预先估计被测电压的情况下,可以用 法来判断被测电压是否超过量程.
查看答案和解析>>
科目:
来源:2009-2010学年江西省师大附中九年级(上)月考物理试卷(解析版)
题型:填空题
如图甲所示,用电流表测电流.若将线头M、N都接到电流表为“0.6”接线柱上,此时电流表的示数如图乙所示.则电流表测的是灯
的电流(填L
1或L
2),电流表的分度值是
A,所测电流大小为
A.

查看答案和解析>>
科目:
来源:2009-2010学年江西省师大附中九年级(上)月考物理试卷(解析版)
题型:填空题
如图,R
1=15Ω、R
2=10Ω.当R
1增大到20Ω时,电压表示数将
,若将R
1除去,电压表示数将
,电流表示数
.(填增大、不变、减小)

查看答案和解析>>
科目:
来源:2009-2010学年江西省师大附中九年级(上)月考物理试卷(解析版)
题型:填空题
如图所示,S可以分别与a、b、c三个固定触点接通,当开关S与a点接触时,灯
发光,当开关S与b接触时,灯泡
发光,当开关与c点接触时
发光.

查看答案和解析>>
科目:
来源:2009-2010学年江西省师大附中九年级(上)月考物理试卷(解析版)
题型:填空题
有两个电阻之比R1:R2=2:5,把它们串联在电路中,通过它们的电流强度之比I1:I2= ,加在它们的两端电压之比U1:U2= ;如果把它们并联在电路中,通过它们的电流之比I1:I2= ,加在它们两端的电压之比是U1:U2= .
查看答案和解析>>
科目:
来源:2009-2010学年江西省师大附中九年级(上)月考物理试卷(解析版)
题型:填空题
两个定值电阻上分别标有“20Ω,1A”和“20Ω,0.5A”字样,为保证电路安全,将两定值电阻串联起来接在某一电路中,则该电路两端所加的最大电压为 ;若将两定值电阻并联起来接在某一电路中,则该电路干路中的最大电流为 .
查看答案和解析>>