相关习题
 0  83741  83749  83755  83759  83765  83767  83771  83777  83779  83785  83791  83795  83797  83801  83807  83809  83815  83819  83821  83825  83827  83831  83833  83835  83836  83837  83839  83840  83841  83843  83845  83849  83851  83855  83857  83861  83867  83869  83875  83879  83881  83885  83891  83897  83899  83905  83909  83911  83917  83921  83927  83935  235360 

科目: 来源:2009-2010学年北京市西城区九年级(上)期末物理试卷(解析版) 题型:选择题

下列事例中,通过做功使物体(加“”的字)内能减少的是( )
A.古人钻“木”取火
B.水烧开的时候,“水蒸气”将壶盖顶起
C.在内燃机的汽缸内,“燃气”推动活塞运动
D.用打气筒给自行车打气时,“筒内气体”被压缩

查看答案和解析>>

科目: 来源:2009-2010学年北京市西城区九年级(上)期末物理试卷(解析版) 题型:选择题

下列有关分子动理论的说法中,正确的是( )
A.扩散只能在气体或液体中进行
B.物体内分子之间的引力和斥力是同时存在的
C.一个物体的内能增加,一定有另一个物体的内能减少
D.物体内部大量分子的热运动越剧烈,物体的温度就越高

查看答案和解析>>

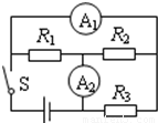
科目: 来源:2009-2010学年北京市西城区九年级(上)期末物理试卷(解析版) 题型:选择题

在图中所示的电路中,开关S闭合后,电流表A1、A2的示数相等.关于三个电阻的阻值关系,可能的是( )
A.R1=R2=R3
B.R3=R2≠R1
C.R3=R1≠R2
D.R2=R1≠R3

查看答案和解析>>

科目: 来源:2009-2010学年北京市西城区九年级(上)期末物理试卷(解析版) 题型:选择题

图中的电阻R1=R2.现有一个两端电压恒为10V的电源,当把该电源接在A、B两个接线端时,电压表的示数为7.5V,电阻R1、R3消耗的电功率分别为P1、P3,电路总电功率为PAB.当把该电源改接在C、D两个接线端时,电压表的示数为5V,电阻R2、R4消耗的电功率分别为P2、P4,电路总电功率为PCD.下列关系不正确的是( )

A.R4=2R1+3R3
B.P1:P2=9:4
C.PAB:PCD=2:3
D.(P1+P3):(P2+P4)=3:4

查看答案和解析>>

科目: 来源:2009-2010学年北京市西城区九年级(上)期末物理试卷(解析版) 题型:填空题

经验证明,只有    的电压对人体才是安全的.

查看答案和解析>>

科目: 来源:2009-2010学年北京市西城区九年级(上)期末物理试卷(解析版) 题型:填空题

家庭电路中发生    或是用电器的总功率过大时,都会使电路中的电流过大.

查看答案和解析>>

科目: 来源:2009-2010学年北京市西城区九年级(上)期末物理试卷(解析版) 题型:填空题

焦炭的热值是3×107J/kg,完全燃烧1kg的焦炭放出的热量为    J.

查看答案和解析>>

科目: 来源:2009-2010学年北京市西城区九年级(上)期末物理试卷(解析版) 题型:填空题

阻值为20Ω的电阻R1    Ω的电阻R2并联后,等效电阻为4Ω.

查看答案和解析>>

科目: 来源:2009-2010学年北京市西城区九年级(上)期末物理试卷(解析版) 题型:填空题

小华把两个标有“110V××W”的完全相同的白炽灯串联后接入家庭电路中,两个灯泡正常发光1.5小时,总共消耗电能0.12度.灯泡正常发光时,通过每个灯泡灯丝的电流为    A.

查看答案和解析>>

科目: 来源:2009-2010学年北京市西城区九年级(上)期末物理试卷(解析版) 题型:填空题

如图所示的电路中,电源两端电压为4.5V保持不变.滑动变阻器R1上标有“20Ω 1A”字样.定值电阻R2=6Ω.电压表的最大测量值3V;电流表的最大测量值0.6A.开关S闭合后.如果要求电压表和电流表的示数均不超过各自的最大测量值,则滑动变阻器接入电路电阻值的变化范围是    Ω.

查看答案和解析>>

同步练习册答案