精英家教网 > 高中数学 > 题目详情
在10件产品中,有3件一等品,4件二等品,3件三等品.从这10件产品中任取3件,求: (I)取出的3件产品中一等品件数X的分布列和数学期望;
(II)取出的3件产品中一等品件数多于二等品件数的概率.

解:(Ⅰ)由题意知本题是一个古典概型, 由于从10件产品中任取3件的结果为C103
从10件产品中任取3件,其中恰有k件一等品的结果数为C3kC73﹣k
那么从10件产品中任取3件,其中恰有k件一等品的概率为
P(X=k)=,k=0,1,2,3.
∴随机变量X的分布列是

∴X的数学期望EX=
(Ⅱ)解:设“取出的3件产品中一等品件数多于二等品件数”为事件A,
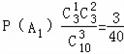
“恰好取出1件一等品和2件三等品”为事件A1,“恰好取出2件一等品“为事件A2,”恰好取出3件一等品”为事件A3.
由于事件A1,A2,A3彼此互斥, 且A=A1∪A2∪A3
,P(A2)=P(X=2)=,P(A3)=P(X=3)=
∴取出的3件产品中一等品件数多于二等品件数的概率为
P(A)=P(A1)+P(A2)+P(A3)=++=

练习册系列答案
  • 名师金典高中新课标同步攻略与测评系列答案
  • 高中新课程课时详解精练系列答案
  • 广东初中升学指导与强化训练系列答案
  • 伴你成长北京师范大学出版社系列答案
  • 义务教育教科书同步训练系列答案
  • 同步练习册华东师范大学出版社系列答案
  • 双语课时练系列答案
  • 同步练习册人民教育出版社系列答案
  • 创新导学案高中同步系列答案
  • 巴蜀英才课时达标讲练测系列答案
  • 年级 高中课程 年级 初中课程
    高一 高一免费课程推荐! 初一 初一免费课程推荐!
    高二 高二免费课程推荐! 初二 初二免费课程推荐!
    高三 高三免费课程推荐! 初三 初三免费课程推荐!
    相关习题

    科目:高中数学 来源: 题型:

    在10件产品中,有3件一等品,4件二等品,3件三等品.从这10件产品中任取3件,求:
    (I)取出的3件产品中一等品件数X的分布列和数学期望;
    (II)取出的3件产品中一等品件数多于二等品件数的概率.

    查看答案和解析>>

    科目:高中数学 来源: 题型:

    在10件产品中,有3件次品,从中任取4件,则恰有两件次品的取法种数为(  )
    X
     
    0
     
    1
     
    P
     
    m
     
    2m
     

    查看答案和解析>>

    科目:高中数学 来源: 题型:

    (本小题满分12分)

    在10件产品中,有3件一等品,4件二等品,3件三等品。从这10件产品中任取3件,求:

    (I) 取出的3件产品中一等品件数X的分布列和数学期望;     

    (II) 取出的3件产品中一等品件数多于二等品件数的概率。     

    查看答案和解析>>

    科目:高中数学 来源: 题型:

    ()在10件产品中,有3件一等品,4件二等品,3件三等品。从这10件产品中任取3件,求:

    (I) 取出的3件产品中一等品件数X的分布列和数学期望;

    (II) 取出的3件产品中一等品件数多于二等品件数的概率。

    查看答案和解析>>

    科目:高中数学 来源:2011-2012学年湖南省岳阳市高三第三次月考理科数学 题型:解答题

    在10件产品中,有3件一等品,4件二等品,3件三等品。从这10件产品中任取3件,求:

    (I) 取出的3件产品中一等品件数X的分布列和数学期望;

    (II) 取出的3件产品中一等品件数多于二等品件数的概率。 

     

    查看答案和解析>>

    同步练习册答案