精英家教网 > 高中数学 > 题目详情
已知向量,函数
(1)求函数f(x)的解析式;
(2)当x∈[0,π]时,求f(x)的单调递增区间;
(3)说明f(x)的图象可以由g(x)=sinx的图象经过怎样的变换而得到.
【答案】分析:(1)直接利用向量的数量积,通过二倍角公式与两角差的正弦函数,化简函数我一个角的一个三角函数的形式,即可求函数f(x)的解析式;
(2)利用正弦函数的单调增区间求出函数的单调增区间与x∈[0,π]取交集,即可求f(x)的单调递增区间;
法二通过x的范围,求出2x-的范围,然后利用函数的最值时的2x-的值,即可得到单调增区间.
(3)利用左加右减,与伸缩变换的原则,直接说明f(x)的图象可以由g(x)=sinx的图象经过变换而得到.
解答:解:(1)∵=
=      2分
∴f(x)=1-=,…(3分)
∴f(x)=.…(4分)
(2)由
解得,…(6分)
∵取k=0和1且x∈[0,π],得
∴f(x)的单调递增区间为.…(8分)
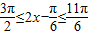
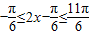
法二:∵x∈[0,π],∴
∴由,…(6分)
解得
∴f(x)的单调递增区间为.…(8分)
(3)g(x)=sinx的图象可以经过下面三步变换得到f(x)=的图象:g(x)=sinx的图象向右平移个单位长度,再把所得各点的横坐标缩短到原来的倍(纵坐标不变),最后把所得各点的纵坐标伸长为原来的2倍(横坐标不变),得到f(x)=的图象.…(14分)(每一步变换2分)
点评:本题借助向量的数量积的化简,求解函数的解析式,考查三角函数的基本性质,函数的图象的变换.
练习册系列答案
相关习题

科目:高中数学 来源:2011届广东省实验中学、华师附中、深圳中学、广雅中学高三上学期期末数学文卷 题型:解答题

(本小题满分12分)
已知向量,函数 
(1)求的最小正周期;
(2)若,求的最大值和最小值.

查看答案和解析>>

科目:高中数学 来源:2013-2014学年安徽省六校教育研究会高三2月联考理科数学试卷(解析版) 题型:解答题

已知向量,函数

最大值;

中,设角的对边分别为,若,且?,求角的大小.

 

查看答案和解析>>

科目:高中数学 来源:2012-2013学年广东省广州市育才中学高三(上)10月月考数学试卷(文科)(解析版) 题型:解答题

已知向量,函数
(1)求函数f(x)的解析式;
(2)当x∈[0,π]时,求f(x)的单调递增区间;
(3)说明f(x)的图象可以由g(x)=sinx的图象经过怎样的变换而得到.

查看答案和解析>>

科目:高中数学 来源:2012-2013学年浙江省五校高三下学期第二次联考理科数学试卷(解析版) 题型:解答题

已知向量,函数

(Ⅰ)若方程上有解,求的取值范围;

(Ⅱ)在中,分别是A,B,C所对的边,当(Ⅰ)中的取最大值且时,求的最小值.

 

查看答案和解析>>

科目:高中数学 来源:2010年南安一中高一下学期期末考试数学卷 题型:解答题

(本小题满分12分)

已知向量,函数

(1)求函数的最小正周期以及单调递增区间;

(2)若时, 求的值域;

(3)求方程内的所有实数根之和.

 

查看答案和解析>>

同步练习册答案