精英家教网 > 高中数学 > 题目详情

已知ab均为有理数,且都是无理数,证明也是无理数.

答案:略
解析:

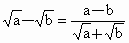
假设是有理数,则

a0b0,则,即

abQ

,即

这样

从而(矛盾)

是无理数.


练习册系列答案
相关习题

科目:高中数学 来源: 题型:

证明:已知a与b均为有理数,且
a
b
都是无理数,证明
a
+
b
也是无理数.

查看答案和解析>>

科目:高中数学 来源: 题型:047

用反证法证明:已知ab均为有理数,且都是无理数,证明是无理数.

查看答案和解析>>

科目:高中数学 来源: 题型:解答题

证明:已知a与b均为有理数,且数学公式数学公式都是无理数,证明数学公式+数学公式也是无理数.

查看答案和解析>>

科目:高中数学 来源:不详 题型:解答题

证明:已知a与b均为有理数,且
a
b
都是无理数,证明
a
+
b
也是无理数.

查看答案和解析>>

科目:高中数学 来源:同步题 题型:证明题

用反证法证明:已知a与b均为有理数,且都是无理数,证明+是无理数。

查看答案和解析>>

同步练习册答案