【答案】
分析:(1)由不等式|f(x)|≤2|2x
2-1|的实数x恒成立,由x=±

时,2|2x
2-1|=0,结合绝对值的非负性,可得f(

)=f(-

)=0,由此构造方程可求出a,b的值;
(2)由f(x)=2x
2+1,可得a
n+1=2a
n+1,进而可得数列{a
n+1}是以2为首项,2为公比的等比数列,求出数列{a
n+1}的通项公式后,可得数列{a
n}的通项公式;
(3)由

=

≥

-

•

(k≥3),利用放缩法,可证得

.
解答:解:(1)∵不等式|f(x)|≤2|2x
2-1|对任意的实数x恒成立.且当x=±

时,2|2x
2-1|=0
∴|f(

)|≤0,且|f(-

)|≤0,
即f(

)=f(-

)=0
即

,
解得:a=2,b=0;
(2)由 (1)知f(x)=2x
2+1,
∴

=2a
n+1,
a
n+1+1=2(a
n+1)
又a
1=1,
∴数列{a
n+1}是以a
1+1=2为首项,2为公比的等比数列.
∴a
n+1=2
n,
从而数列{a
n}的通项公式a
n=2
n-1;
(3)由 (2)知a
n=2
n-1,
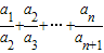
∴

=

=

-

=

-

≥

-

•

(k≥3)
∴

≥

+

+

-

•(

+

+…+

)=

-

•(1-

)>

-

=

>

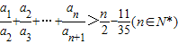
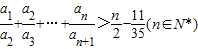
综上有

.
点评:本题考查的知识点是数列与函数的综合应用,数列与不等式的综合应用,求数列的通项公式,其中(1)的关键是得到f(

)=f(-

)=0,(2)的关键是得到数列{a
n+1}是以2为首项,2为公比的等比数列,(3)的关键是利用放缩法对不等式进行变形.