精英家教网 > 高中数学 > 题目详情
函数y=-x2+2|x|,单调递减区间为   
【答案】分析:先把函数转化为分段函数,然后作出其图象,根据即得函数的减区间.
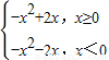
解答:解:y=-x2+2|x|==
作出函数的图象如下图所示:
由图象知,函数的减区间为:(-1,0),(1,+∞).
故答案为:(-1,0),(1,+∞).
点评:本题考查二次函数的性质,考查数形结合思想,属基础题.
练习册系列答案
相关习题

科目:高中数学 来源: 题型:

函数y=x2+2(m-1)x+3在区间(-∞,-2]上是减函数,则m的取值范围是(  )
A、m≤3B、m≥3C、m≤-3D、m≥-3

查看答案和解析>>

科目:高中数学 来源: 题型:

13、已知函数y=x2-2|x|:(1)判断它的奇偶性;(2)画出函数的图象(3)根据图象写出单调递增区间

查看答案和解析>>

科目:高中数学 来源: 题型:

画出函数y=x2-2|x|-1的图象.

查看答案和解析>>

科目:高中数学 来源: 题型:

5、已知函数y=-x2-2(a-1)x+5在区间[-1,+∞)上是减函数,则实数a的取值范围是(  )

查看答案和解析>>

科目:高中数学 来源: 题型:

函数y=x2-2|x|+1的单调增区间为
(-1,0)和(1,+∞).
(-1,0)和(1,+∞).

查看答案和解析>>

同步练习册答案