精英家教网 > 高中数学 > 题目详情
若直线x-y=2被圆(x-a)2+y2=4所截得的弦长为,则实数a的值为( )
A.-1或
B.1或3
C.-2或6
D.0或4
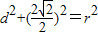
【答案】分析:由圆的方程,得到圆心与半径,再求得圆心到直线的距离,由求解.
解答:解:∵圆(x-a)2+y2=4
∴圆心为:(a,0),半径为:2
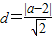
圆心到直线的距离为:

解得a=4,或a=0
故选D.
点评:本题主要考查直与圆的位置关系及其方程的应用,是常考题型,属中档题.
练习册系列答案
相关习题

科目:高中数学 来源: 题型:

若直线x-y=2被圆(x-a)2+y2=4所截得的弦长为2
2
,则实数a的值为(  )
A、-1或
3
B、1或3
C、-2或6
D、0或4

查看答案和解析>>

科目:高中数学 来源: 题型:

若直线x-y=2被圆(x-a)2+y2=4所截得的弦长为2,则实数a的值为(    )

A.-1或        B.1或3

C.-2或6            D.0或4

查看答案和解析>>

科目:高中数学 来源:2012-2013学年山东省烟台市莱州一中高三(上)1月质量检测数学试卷(理科)(解析版) 题型:选择题

若直线x-y=2被圆(x-a)2+y2=4所截得的弦长为,则实数a的值为( )
A.-1或
B.1或3
C.-2或6
D.0或4

查看答案和解析>>

科目:高中数学 来源:2012-2013学年湖北省部分重点中学高二(上)期中数学试卷(文科)(解析版) 题型:选择题

若直线x-y=2被圆(x-a)2+y2=4所截得的弦长为,则实数a的值为( )
A.-1或
B.1或3
C.-2或6
D.0或4

查看答案和解析>>

科目:高中数学 来源:2010-2011学年四川省眉山市彭山二中高二(上)期末数学试卷(解析版) 题型:选择题

若直线x-y=2被圆(x-a)2+y2=4所截得的弦长为,则实数a的值为( )
A.-1或
B.1或3
C.-2或6
D.0或4

查看答案和解析>>

同步练习册答案