精英家教网 > 高中数学 > 题目详情
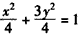
如图,已知椭圆,A(2,0)是长轴的一个端点,弦BC过椭圆的中心O,且
(Ⅰ)求椭圆的方程;
(Ⅱ)若AB上的一点F满足,求证:CF平分∠BCA;
(Ⅲ)对于椭圆上的两点P,Q,∠PCQ的平分线总是垂直于x轴时,是否存在实数λ,使得

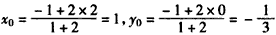
(Ⅰ)解:∵

,即
是等腰直角三角形,

∴C(1,1),而C在椭圆上,
,∴
∴所求椭圆方程为
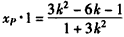
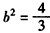
(Ⅱ)证明:由(Ⅰ)得
,即
即点F分所成的定比为2,


,CF⊥x轴,
,即CF平分∠BCA。
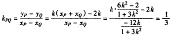
(Ⅲ)解:对于椭圆上两点P,Q,
的角平分线总是垂直于x轴,
∴PC与CQ所在直线关于x=1对称,,则
∵C(1,1),
则PC的直线方程为,①
QC的直线方程为,②
将①代入,得
,③
∵C(1,1)在椭圆上,
∴x=1是方程③的一个根,

同理将②代入,得
,④
∵C(1,1)在椭圆上,
∴x=1是方程④的一个根,



,∴PQ∥AB,
∴存在实数λ,使得

练习册系列答案
相关习题

科目:高中数学 来源:2014届广东省、阳东一中高二上联考文数试卷(解析版) 题型:解答题

(本题满分14分)

如图,已知椭圆=1(ab>0),F1F2分别为椭圆的左、右焦点,A为椭圆的上的顶点,直线AF2交椭圆于另 一点B.

(1)若∠F1AB=90°,求椭圆的离心率;

(2)若=2·,求椭圆的方程.

 

查看答案和解析>>

科目:高中数学 来源:2013届度吉林省吉林市高二上学期期末理科数学试卷 题型:解答题

如图,已知椭圆(a>b>0)的离心率,过顶点A、B的直线与原点的距离为

 

 

(1)求椭圆的方程.

(2)已知定点E(-1,0),若直线y=kx+2(k≠0)与椭圆交于C、D两点.问:是否存在k的值,使以CD为直径的圆过E点?请说明理由.

 

查看答案和解析>>

科目:高中数学 来源:2013届江苏省淮安市高二上学期期末模拟考试(四)数学 题型:解答题

如图,已知椭圆(a>b>0)的离心率,过点A(0,-b)和B(a,0)的直线与原点的距离为

 

 

(1)求椭圆的方程.

(2)已知定点E(-1,0),若直线y=kx+2(k≠0)与椭圆交于C、D两点.

问:是否存在k的值,使以CD为直径的圆过E点?请说明理由.

 

查看答案和解析>>

科目:高中数学 来源:2013届山东省潍坊市高二寒假作业(三)数学试卷 题型:解答题

如图,已知椭圆(a>b>0)的离心率,过点A(0,-b)和B(a,0)的直线与原点的距离为

 

 

(1)求椭圆的方程.

(2)已知定点E(-1,0),若直线y=kx+2(k≠0)与椭圆交于C、D两点.问:是否存在k的值,使以CD为直径的圆过E点?请说明理由.

 

查看答案和解析>>

科目:高中数学 来源:2010年河北省邯郸市高二上学期期末考试数学理卷 题型:解答题

(示范高中)如图,已知椭圆(a>b>0)的离心率,过点的直线与原点的距离为

(1)求椭圆的方程;

(2)已知定点,若直线与椭圆交于两点.问:是否存在的值,使以为直径的圆过点?请说明理由.

 

 

查看答案和解析>>

同步练习册答案