精英家教网 > 高中数学 > 题目详情
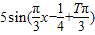
函数的最小正周期是   
【答案】分析:设函数的最小正周期为T,可得f(x+T)=f(x),代入函数的解析式并结合正弦的诱导公式,可得=2kπ(k∈Z),
再取k的最小正整数,即可得到函数的最小正周期是6.
解答:解:∵f(x)=
∴f(x+T)==
设函数的最小正周期为T,则f(x+T)=f(x),
=
可得=2kπ(k∈Z),解之得T=6k(k∈Z),
取k=1,得T=6,即函数的最小正周期是6
故答案为:6
点评:本题给出函数,求它的最小正周期.着重考查了诱导公式和三角函数周期的定义及其求法等知识,属于基础题.
练习册系列答案
相关习题

科目:高中数学 来源: 题型:

把函数y=sin(
π
4
-2x)
的图象向右平移
π
8
个单位,所得图象对应函数的最小正周期是(  )
A、π
B、2π
C、4π
D、
π
2

查看答案和解析>>

科目:高中数学 来源: 题型:

已知函数y=sin2x+2sinxcosx+3cos2x,x∈R,那么(Ⅰ)函数的最小正周期是什么?(Ⅱ)函数在什么区间上是增函数?

查看答案和解析>>

科目:高中数学 来源: 题型:

关于函数y=2sin(3x+
π
4
)-
1
2
有以下三种说法:
①图象的对称中心是(
3
-
π
12
,0)(k∈z)

②图象的对称轴是直线x=
3
+
π
12
(k∈z)

③函数的最小正周期是T=
3
,其中正确的说法是(  )
A、①②③B、①③C、②③D、③

查看答案和解析>>

科目:高中数学 来源: 题型:

已知y=sin(ωx+?)与直线y=
1
2
的交点中,距离最近的两点间的距离为
π
3
,那么此函数的最小正周期是(  )

查看答案和解析>>

科目:高中数学 来源: 题型:

函数f(x)=3sin(2x-
π
6
)
的图象为C.如下结论:
①函数的最小正周期是π;  
②图象C关于直线x=
1
3
π
对称;  
③函数f(x)在区间(-
π
12
12
)上是增函数;  
④由y=3sin2x的图象向右平移
π
3
个单位长度可以得到图象C.其中正确的是
 
. (写出所有正确结论的序号)

查看答案和解析>>

同步练习册答案