精英家教网 > 高中数学 > 题目详情
已知F1,F2为椭圆的左右焦点,在此椭圆上存在点P,使∠F1PF2=60°,且|PF1|=2|PF2|,则此椭圆的离心率为( )
A.
B.
C.
D.
【答案】分析:根据题设条件,利用余弦定理能够求出,再由椭圆定义可以推导出a=,从而求出该双曲线的离心率.
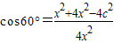
解答:解:设|PF1|=2x,|PF2|=x,|F1F2|=2c,
∵∠F1PF2=60°,∴,解得

,∴a=
∴e=
故选B.
点评:本题考查椭圆的离心率的求法,借助余弦定理解决圆锥曲线问题是解决高考试题的一种常规方法.
练习册系列答案
相关习题

科目:高中数学 来源: 题型:

已知F1,F2为椭圆
x2
a2
+
y2
b2
=1
(a>b>0)的两个焦点,过F2作椭圆的弦AB,若△AF1B的周长为16,椭圆的离心率e=
3
2
,则椭圆的方程为(  )
A、
x2
4
+
y2
3
=1
B、
x2
16
+
y2
3
=1
C、
x2
16
+
y2
4
=1
D、
x2
16
+
y2
12
=1

查看答案和解析>>

科目:高中数学 来源: 题型:

已知F1,F2为椭圆E的两个左右焦点,抛物线C以F1为顶点,F2为焦点,设P为椭圆与抛物线的一个交点,如果椭圆离心率e满足|PF1|=e|PF2|,则e的值为
 

查看答案和解析>>

科目:高中数学 来源: 题型:

已知F1、F2为椭圆
x2
25
+
y2
9
=1
的两个焦点,点P是椭圆上的一个动点,则|PF1|•|PF2|的最小值是
9
9

查看答案和解析>>

科目:高中数学 来源: 题型:

已知F1、F2为椭圆
x2
a2
+
y2
b2
=1(a>b>0)
的焦点,B为椭圆短轴的一个端点,
BF1
BF2
1
2
F1F2
2
则椭圆的离心率的取值范围是
(0,
1
2
]
(0,
1
2
]

查看答案和解析>>

科目:高中数学 来源: 题型:

(2009•荆州模拟)已知F1、F2为椭圆C:
x2
m+1
+
y2
m
=1的两个焦点,P为椭圆上的动点,则△F1PF2面积的最大值为2,则椭圆的离心率e为(  )

查看答案和解析>>

同步练习册答案