精英家教网 > 高中数学 > 题目详情
已知函数
(1)若曲线y=f(x)在点(2,f(2))处的切线与直线6x+y+1=0平行,求出这条切线的方程;
(2)当a>0时,求:
①讨论函数f(x)的单调区间;
②对任意的x<-1,恒有f(x)<1,求实数a的取值范围.
【答案】分析:(1)求导数,可得切线的斜率,从而可求切线的方程;
(2)①求导数,分类讨论,利用导数的正负,可得函数的单调区间;
②分类讨论,求得函数的最大值,根据对任意的x<-1,恒有f(x)max<1,即可求实数a的取值范围.
解答:解:(1)f'(x)=ax2+x-a+1,得切线斜率为k=f'(2)=3a+3---------(2分)
据题设,k=-6,所以a=-3,故有f(2)=3----------------------------(3分)
所以切线方程为y-f(2)=-6(x-2),即6x+y-15=0------------------------(4分)
(2)①
,则,可知函数f(x)的增区间为和(-1,+∞),减区间为-----------------(6分)
,则,可知函数f(x)的增区间为(-∞,+∞);------------(7分)
,则,可知函数f(x)的增区间为(-∞,-1)和,减区间为-------------------------------------(9分)
②当时,据①知函数f(x)在区间上递增,在区间上递减,
所以,当x<-1时,,故只需,即
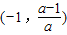
显然a≠1,变形为,即,解得---------(11分)
时,据①知函数f(x)在区间(-∞,-1)上递增,则有
只需,解得.----------(13分)
综上,正实数a的取值范围是--------------------------------------------(14分)
点评:本题考查导数知识的运用,考查导数的几何意义,考查函数的最值,考查分类讨论的数学思想,考查恒成立问题,属于中档题.
练习册系列答案
相关习题

科目:高中数学 来源: 题型:

已知函数f(x)=px-
px
-2lnx、
(Ⅰ)若p=3,求曲f9想)在点(1,f(1))处的切线方程;
(Ⅱ)若p>0且函f(x)在其定义域内为增函数,求实数p的取值范围;
(Ⅲ)若函数y=f(x)在x∈(0,3)存在极值,求实数p的取值范围.

查看答案和解析>>

科目:高中数学 来源:2011-2012学年福建省福州市八县(市)一中高三(上)期中数学试卷(文科)(解析版) 题型:解答题

已知函数f(x)=px--2lnx、
(Ⅰ)若p=3,求曲f9想)在点(1,f(1))处的切线方程;
(Ⅱ)若p>0且函f(x)在其定义域内为增函数,求实数p的取值范围;
(Ⅲ)若函数y=f(x)在x∈(0,3)存在极值,求实数p的取值范围.

查看答案和解析>>

科目:高中数学 来源:2010-2011学年福建省龙岩市高三(上)期末质量检查一级达标数学试卷(文科)(解析版) 题型:解答题

已知函数f(x)=px--2lnx、
(Ⅰ)若p=3,求曲f9想)在点(1,f(1))处的切线方程;
(Ⅱ)若p>0且函f(x)在其定义域内为增函数,求实数p的取值范围;
(Ⅲ)若函数y=f(x)在x∈(0,3)存在极值,求实数p的取值范围.

查看答案和解析>>

科目:高中数学 来源:2011年福建省莆田十中高三适应性考试数学试卷(文科)(解析版) 题型:解答题

已知函数f(x)=px--2lnx、
(Ⅰ)若p=3,求曲f9想)在点(1,f(1))处的切线方程;
(Ⅱ)若p>0且函f(x)在其定义域内为增函数,求实数p的取值范围;
(Ⅲ)若函数y=f(x)在x∈(0,3)存在极值,求实数p的取值范围.

查看答案和解析>>

科目:高中数学 来源:2011年福建省宁德市古田县高三适应性测试数学试卷(文科)(解析版) 题型:解答题

已知函数f(x)=px--2lnx、
(Ⅰ)若p=3,求曲f9想)在点(1,f(1))处的切线方程;
(Ⅱ)若p>0且函f(x)在其定义域内为增函数,求实数p的取值范围;
(Ⅲ)若函数y=f(x)在x∈(0,3)存在极值,求实数p的取值范围.

查看答案和解析>>

同步练习册答案