精英家教网 > 高中数学 > 题目详情

已知数列满足:.

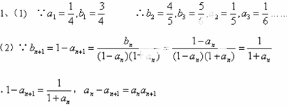
(1)求

(2) 证明数列为等差数列,并求数列的通项公式;

(3)设,求实数为何值时恒成立。

 ∴数列{}是以4为首项,1为公差的等差数列       ……………6分

 ∴  

    ∴ ……………8分

(3)          

      ……………10分

 由条件可知恒成立即可满足条件

时,恒成立,

练习册系列答案
相关习题

科目:高中数学 来源: 题型:

已知数列{an}满足an+1=-an2+2an(n∈N*),且0<a1<1.
(1)用数学归纳法证明:0<an<1;
(2)若bn=lg(1-an),且a1=
9
10
,求无穷数列{
1
bn
}
所有项的和.

查看答案和解析>>

科目:高中数学 来源: 题型:

已知数列{an}满足a1=0,a2=1,an=
an-1+an-2
2
,求
lim
n→∞
an

查看答案和解析>>

科目:高中数学 来源: 题型:

已知数列{an}满足:a1=1,an+1=
an+1    n≤3
2an?? n≥4

(1)求数列{an}的通项公式;
(2)求数列{nan}前100项的和S100

查看答案和解析>>

科目:高中数学 来源: 题型:

已知数列{an}满足a1+2a2+22a3+…+2n-1an=
n2
,n∈N*
(1)求数列{an}的通项公式;
(2)设bn=(2n-1)an,求数列{bn}的前n项和Sn

查看答案和解析>>

科目:高中数学 来源: 题型:

已知数列{an}满足an+2=an+1+an,若a1=1,a5=8,则a3=(  )
A、1
B、2
C、3
D、
7
2

查看答案和解析>>

同步练习册答案