精英家教网 > 高中数学 > 题目详情
已知函数
(1)若a=-1,求f(x)的单调递增区间;
(2)当x>1时,f(x)>lnx恒成立,求实数a的取值范围.
【答案】分析:(1)若a=-1时,,x>0,由f′(x)>0,能求出函数f(x)的单调递增区间.
(2)依题意得f(x)-lnx>0,故,所以,由此能求出实数a的取值范围.
解答:解:(1)∵
∴若a=-1时,,x>0,
由f′(x)>0,得,又x>0,解得x>1,
所以函数f(x)的单调递增区间为(1,+∞).
(2)依题意得f(x)-lnx>0,


∵x>1,∴lnx>0



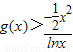
令g′(x)=0,解得x=
时,g′(x)>0,g(x)在(0,)上单调递增;
时,g′(x)<0,g(x)在(,+∞)上单调递减;

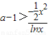
∴a-1>-e,即a>1-e.
故实数a的取值范围是(1-e,+∞).
点评:本题考查函数的增区间的求法,考查满足条件的实数的取值范围的求法.解题时要认真审题,仔细解答,注意导数性质的灵活运用.
练习册系列答案
相关习题

科目:高中数学 来源: 题型:解答题

已知函数数学公式
(1)若a<0,则f(x)的定义域为______;
(2)若f(x)在区间(0,1]上是增函数,则实数a的取值范围为______.

查看答案和解析>>

科目:高中数学 来源: 题型:

(08年银川一中二模文) (12分)已知函数

   (1)若a,b都是从0,1,2,3,4五个数中任取的一个数,求上述函数有零点的概率.

   (2)若a,b都是从区间[0,4]任取的一个数,求f(1)>0成立时的概率.

查看答案和解析>>

科目:高中数学 来源:2012-2013学年江苏省南通市西亭高级中学高三(上)期中数学复习试卷(五)(解析版) 题型:解答题

已知函数
(1)若a=0,求不等式f(x)≥0的解集;
(2)若对于一切x∈(0,+∞),不等式f(x)≥1恒成立,求a的取值范围.

查看答案和解析>>

科目:高中数学 来源:2012-2013学年江苏省南通市西亭高级中学高三(上)期中数学复习试卷(五)(解析版) 题型:解答题

已知函数
(1)若a=0,求不等式f(x)≥0的解集;
(2)若对于一切x∈(0,+∞),不等式f(x)≥1恒成立,求a的取值范围.

查看答案和解析>>

科目:高中数学 来源:2010-2011学年北京市东城区示范校高三(下)3月联考数学试卷(文科)(解析版) 题型:解答题

已知函数
(1)若a=3,点P为曲线y=f(x)上的一个动点,求以点P为切点的切线斜率取最小值时的切线方程;
(2)若函数y=f(x)在(0,+∞)上为单调增函数,试求a的取值范围.

查看答案和解析>>

同步练习册答案