精英家教网 > 高中数学 > 题目详情
等比数列{an}中,a2=2,,若bn=anan+1,则数列{bn}的通项公式bn=    ,前n项和为   
【答案】分析:先根据等比数列求出数列{an}的通项公式,然后求出数列{bn}的通项公式,最后根据等比数列的前n项和公式进行求解即可.
解答:解:∵等比数列{an},a2=2,
∴an=
bn=anan+1=4××4×=
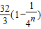
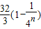
Sn==
故答案为:
点评:本题主要考查数列的通项公式的求法和数列求和.高考对数列的考查无外乎通项公式的求法和前n项和的求法,对经常用到的常用方法要熟练掌握.
练习册系列答案
相关习题

科目:高中数学 来源: 题型:

等比数列{an}中,a2=18,a4=8,则公比q等于(  )

查看答案和解析>>

科目:高中数学 来源: 题型:

已知等比数列{an}中,a1=0,an+1=
1
2-an

(Ⅰ)求数列{an}的通项公式an
(Ⅱ)设数列{an}的前n项和为Sn,证明:Sn<n-ln(n+1);
(Ⅲ)设bn=an
9
10
n,证明:对任意的正整数n、m,均有|bn-bm|<
3
5

查看答案和解析>>

科目:高中数学 来源: 题型:

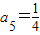
在等比数列{an}中,a3=2,a7=32,则a5=
8
8

查看答案和解析>>

科目:高中数学 来源: 题型:

已知等比数列{an}中,an=2×3n-1,则由此数列的奇数项所组成的新数列的前n项和为
9n-1
4
9n-1
4

查看答案和解析>>

科目:高中数学 来源: 题型:

在等比数列{an}中,已知对n∈N*有a1+a2+…+an=2n-1,那么
a
2
1
+
a
2
2
+…+
a
2
n
等于(  )

查看答案和解析>>

同步练习册答案