精英家教网 > 高中数学 > 题目详情
如图,圆柱OO1内有一个三棱柱ABC-A1B1C1,三棱柱的底面为圆柱底面的内接三角形,且AB是圆O的直径,
(Ⅰ)证明:平面A1ACC1⊥平面B1BCC1
(Ⅱ)设AB=AA1,在圆柱OO1内随机选取一点,记该点取自于三棱柱ABC-A1B1C1内的概率为p,
(ⅰ)当点C在圆周上运动时,求p的最大值;
(ⅱ)记平面A1ACC1与平面B1OC所成的角为θ(0°<θ≤90°),当p取最大值时,求cosθ的值.
解:(Ⅰ)∵A1A⊥平面ABC,BC平面ABC,
∴A1A⊥BC,
∵AB是圆O的直径,
∴BC⊥AC,
又AC∩A1A=A,
∴BC⊥平面A1ACC1,而BC平面B1BCC1
所以平面A1ACC1⊥平面B1BCC1
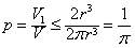
(Ⅱ)(ⅰ)设圆柱的底面半径为r,则AB=AA1=2r,
故三棱柱ABC-A1B1C1的体积
又∵

当且仅当时等号成立,
从而,V1≤2r3
而圆柱的体积V=πr2·2r=2πr3

当且仅当AC=BC=r,即OC⊥AB时等号成立,
所以,p的最大值等于
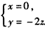
(ⅱ)由(ⅰ)可知,p取最大值时,OC⊥AB,
于是,以O为坐标原点,建立空间直角坐标系D-xyz(如图),
则C(r,0,0),B(0,r,0),B1(0,r,2r),
∵BC⊥平面A1ACC1
是平面A1ACC1的一个法向量,
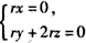
设平面B1OC的法向量n=(x,y,z),
,得,故
取z=1,得平面B1OC的一个法向量为n=(0,-2,1),

练习册系列答案
相关习题

科目:高中数学 来源: 题型:

精英家教网如图,圆柱OO1内有一个三棱柱ABC-A1B1C1,三棱柱的底面为圆柱底面的内接三角形,且AB是圆O的直径.
(1)证明:平面A1ACC1⊥平面B1BCC1
(2)设AB=AA1,在圆柱OO1内随机选取一点,记该点取自于三棱柱ABC-A1B1C1内的概率为P.当点C在圆周上运动时,记平面A1ACC1与平面B1OC所成的角为θ(0°<θ≤90°),当P取最大值时,求cosθ的值.

查看答案和解析>>

科目:高中数学 来源: 题型:

如图,圆柱OO1内有一个三棱柱ABC-A1B1C1,三棱柱的底面为圆柱底面的内接三角形,且AB是圆O的直径.
(1)证明:O1A∥平面B1OC;
(2)证明:平面A1ACC1⊥平面B1BCC1
(3)设AB=AA1=2,在圆柱OO1内随机选取一点,记该点取自于三棱柱ABC-A1B1C1内的概率为P,当点C在圆周上运动时,求P的最大值.

查看答案和解析>>

科目:高中数学 来源: 题型:

如图,圆柱OO1内有一个三棱柱ABC-A1B1C1,三棱柱的底面为圆柱底面的内接三角形,且AB是圆O直径,AA1=AC=CB=2.
(Ⅰ)证明:平面A1ACC1⊥平面B1BCC1
(Ⅱ)设E,F分别为AC,BC上的动点,且CE=BF=x,问当x为何值时,三棱锥C-EC1F的体积最大,最大值为多少?

查看答案和解析>>

科目:高中数学 来源: 题型:

如图,圆柱OO1内有一个三棱柱ABC-A1B1C1,三棱柱的底面为圆柱底面的内接三角形,且AB是圆O的直径.
(1)证明:平面A1ACC1⊥平面B1BCC1
(2)设AB=AA1=2,点C为圆柱OO1底面圆周上一动点,记三棱柱ABC-A1B1C1的体积为V.
①求V的最大值;
②记平面A1ACC1与平面B1OC所成的角为θ(0°<θ≤90°),当V取最大值时,求cosθ的值;
③当V取最大值时,在三棱柱ABC-A1B1C1的侧面A1ACC1内(包括边界)的动点P到直线B1C1的距离等于它到直线AC的距离,求动点P到点C距离|PC|的最值.

查看答案和解析>>

科目:高中数学 来源: 题型:

如图,圆柱OO1内有一个三棱柱ABC-A1B1C1,三棱柱的底面为圆柱底面的内接三角形,且AB是圆O直径.
(I)证明:平面A1ACC1⊥平面B1BCC1
(Ⅱ)设AB=AA1,在圆柱OO1内随机选取一点,记该点取自于三棱柱ABC-A1B1C1内的概率为P.
(i)当点C在圆周上运动时,求P的最大值;
(ii)记平面A1ACC1与平面B1OC所成的角为θ(0°≤θ≤90°),当P取最大值时,求cosθ的值.

查看答案和解析>>

同步练习册答案