精英家教网 > 高中数学 > 题目详情
已知向量满足,且(2
(1)求向量的坐标;     
(2)求向量的夹角.
【答案】分析:(1)首先利用平面向量的数乘运算及坐标加法运算求出2的坐标,然后直接利用向量垂直的坐标运算列式求解x的值,则向量的坐标可求;
(2)直接利用两向量的夹角公式求出两个向量夹角的余弦值,根据夹角的范围进一步求出两个向量的夹角.
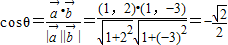
解答:解:(1)∵,∴
又∵(2,∴(2x+1,1)•(1,-3)=2x+1+1×(-3)=0
解得x=1,∴
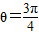
(2)设向量的夹角为θ,∵

∵0≤θ≤π,∴向量与的夹角
点评:本题考查向量的数量积判断两个向量的垂直关系,考查了两个向量的夹角公式,考查计算能力,是基础题.
练习册系列答案
相关习题

科目:高中数学 来源: 题型:

(08年内江市一模) (12分) 已知向量满足,且,其中

(1)试用表示,并求出的最大值及此时的夹角的值;

(2)当取得最大值时,求实数,使的值最小,并对这一结论作出几何解释。

查看答案和解析>>

科目:高中数学 来源:2009-2010学年高一(下)期中数学试卷(解析版) 题型:解答题

已知向量满足,且,令
(1)求(用k表示);
(2)当k>0时,对任意的t∈[-1,1]恒成立,求实数x取值范围.

查看答案和解析>>

科目:高中数学 来源:2011年福建省高考60天冲刺训练数学试卷10(理科)(解析版) 题型:解答题

已知向量满足,且,令
(1)求(用k表示);
(2)当k>0时,对任意的t∈[-1,1]恒成立,求实数x取值范围.

查看答案和解析>>

科目:高中数学 来源:2014届四川省高一下学期期中考试数学试卷(解析版) 题型:解答题

已知向量满足,且

(1)、求向量的坐标;     (2)、求向量的夹角.

 

查看答案和解析>>

同步练习册答案