精英家教网 > 高中数学 > 题目详情
已知动点P在椭圆上,点M在圆C2:(x-3)2+y2=1上,点A(3,0)满足PM⊥AM,则|PM|的最小值为   
【答案】分析:设点P(s,t),代入椭圆方程,可得,s∈[-5,5].利用PM⊥AM,可得|PM|2=|PA|2-|AM|2=,利用二次函数在s∈[-5,5]内单调递减,即可得出|PM|2取得最小值.
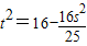
解答:解:设点P(s,t),则,可得,s∈[-5,5].
∵PM⊥AM,∴|PM|2=|PA|2-|AM|2=(s-3)2+t2-1==
∵上述二次函数在s∈[-5,5]内单调递减,因此当s=5时,|PM|2取得最小值=3,即|PM|的最小值为
故答案为
点评:熟练掌握椭圆的标准方程与性质、勾股定理、二次函数的单调性等是解题的关键.
练习册系列答案
相关习题

科目:高中数学 来源: 题型:

以下四个命题:
①到两个定点距离之和为正常数的动点P在椭圆上;
②当h无限趋近于0时,
3+h
-
3
2h
无限趋近于
3
12

③?q是?p的必要不充分条件,则p是q的充分不必要条件;
④已知a,b,c均为实数,b2-4ac<0是ax2+bx+c>0的必要不充分条件.
其中真命题的序号为
 
(写出所有真命题的序号).

查看答案和解析>>

科目:高中数学 来源: 题型:

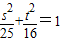
已知动点P在椭圆
x2
25
+
y2
16
=1
上,点M在圆C2:(x-3)2+y2=1上,点A(3,0)满足PM⊥AM,则|PM|的最小值为
3
3

查看答案和解析>>

科目:高中数学 来源: 题型:

已知动点P在以F1(0,
2
2
)、F2(0,-
2
2
)为焦点的椭圆上C,且cos∠F1PF2的最小值为0,直线l与y轴交于点Q(0,m),与椭圆C交于相异两点A,B,且
AQ
=3
QB

(1)求椭圆C的方程;
(2)实数m的取值范围.

查看答案和解析>>

科目:高中数学 来源:不详 题型:填空题

已知动点P在椭圆
x2
25
+
y2
16
=1
上,点M在圆C2:(x-3)2+y2=1上,点A(3,0)满足PM⊥AM,则|PM|的最小值为______.

查看答案和解析>>

同步练习册答案