精英家教网 > 高中数学 > 题目详情
已知椭圆过点,且离心率e=
(Ⅰ)求椭圆方程;
(Ⅱ)若直线l:y=kx+m(k≠0)与椭圆交于不同的两点M、N,且线段MN的垂直平分线过定点,求k的取值范围.
【答案】分析:(Ⅰ)由题意知椭圆的离心率,故椭圆方程为,又点在椭圆上,由此能导出椭圆的方程.
(Ⅱ)设M(x1,y1),N(x2,y2),由,消去y并整理得(3+4k2)x2+8kmx+4m2-12=0,由直线y=kx+m与椭圆有两个交点,知m2<4k2+3.又,知MN中点P的坐标为,由此能求出k的范围.
解答:解:(Ⅰ)由题意椭圆的离心率∴∴a=2c∴b2=a2-c2=3c2
∴椭圆方程为又点在椭圆上∴∴c2=1
∴椭圆的方程为…(4分)
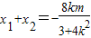
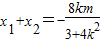
(Ⅱ)设M(x1,y1),N(x2,y2)由
消去y并整理得(3+4k2)x2+8kmx+4m2-12=0…(6分)
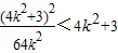
∵直线y=kx+m与椭圆有 两个交点△=(8km)2-4(3+4k2)(4m2-12)>0,即m2<4k2+3…(8分)
∴MN中点P的坐标为…(9分)
设MN的垂直平分线l'方程:
∵p在l'上∴即4k2+8km+3=0
…(11分)
将上式代入得

,∴k的取值范围为
点评:本题考查椭圆方程和k的取值范围,解题时要认真审题,仔细解答,注意椭圆的灵活运用,合理地进行等价转化.
练习册系列答案
相关习题

科目:高中数学 来源: 题型:

(2012•淮南二模)已知椭圆C:
x2
a2
+
y2
b2
=1,(a>b>0)与双曲4x2-
4
3
y2=1有相同的焦点,且椭C的离心e=
1
2
,又A,B为椭圆的左右顶点,M为椭圆上任一点(异于A,B).
(1)求椭圆的方程;
(2)若直MA交直x=4于点P,过P作直线MB的垂线x轴于点Q,Q的坐标;
(3)求点P在直线MB上射R的轨迹方程.

查看答案和解析>>

科目:高中数学 来源: 题型:解答题

已知椭圆C:数学公式+数学公式=1,(a>b>0)与双曲4x2-数学公式y2=1有相同的焦点,且椭C的离心e=数学公式,又A,B为椭圆的左右顶点,M为椭圆上任一点(异于A,B).
(1)求椭圆的方程;
(2)若直MA交直x=4于点P,过P作直线MB的垂线x轴于点Q,Q的坐标;
(3)求点P在直线MB上射R的轨迹方程.

查看答案和解析>>

科目:高中数学 来源:2012年安徽省淮北市高考数学二模试卷(文科)(解析版) 题型:解答题

已知椭圆C:+=1,(a>b>0)与双曲4x2-y2=1有相同的焦点,且椭C的离心e=,又A,B为椭圆的左右顶点,M为椭圆上任一点(异于A,B).
(1)求椭圆的方程;
(2)若直MA交直x=4于点P,过P作直线MB的垂线x轴于点Q,Q的坐标;
(3)求点P在直线MB上射R的轨迹方程.

查看答案和解析>>

科目:高中数学 来源:2012年安徽省淮南市高考数学二模试卷(理科)(解析版) 题型:解答题

已知椭圆C:+=1,(a>b>0)与双曲4x2-y2=1有相同的焦点,且椭C的离心e=,又A,B为椭圆的左右顶点,M为椭圆上任一点(异于A,B).
(1)求椭圆的方程;
(2)若直MA交直x=4于点P,过P作直线MB的垂线x轴于点Q,Q的坐标;
(3)求点P在直线MB上射R的轨迹方程.

查看答案和解析>>

科目:高中数学 来源:2012年安徽省淮北市高考数学二模试卷(理科)(解析版) 题型:解答题

已知椭圆C:+=1,(a>b>0)与双曲4x2-y2=1有相同的焦点,且椭C的离心e=,又A,B为椭圆的左右顶点,M为椭圆上任一点(异于A,B).
(1)求椭圆的方程;
(2)若直MA交直x=4于点P,过P作直线MB的垂线x轴于点Q,Q的坐标;
(3)求点P在直线MB上射R的轨迹方程.

查看答案和解析>>

同步练习册答案