解:(1)设椭圆C的方程为![]()
∵长轴长是短轴长
的倍
∴椭圆方程为![]()
∵
在椭圆C上
∴椭圆C的方程为
。
(2)①当切线l的斜率不存在时切线方程为![]()
与椭圆
的两个交点为
或![]()
![]()
满足![]()
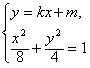
当切线l斜率存在时,可设l的方程为y=kx+m
解方程组![]()
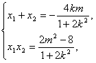
得x2+2(kx+m)2=8,
即(1+2k2)x2+4kmx+2m2-8 =0,
则Δ=16k2m2-4(1+2k2)(2m2-8) =8(8k2-m2+4)>0,
即8k2-m2+4>0![]()
y1y2=(kx1+m)(kx2+m)=k2x1x2+km(x1+x2)+m2
=![]()
∵l与圆
相切
∴![]()
∴3m2=8k2+8
∴
=![]()
∴OA⊥OB。
②由①可知(x1-x2)2=(x1+x2)2-4x1x2=![]()
![]()
![]()
![]()
=![]()
当k≠0时,|AB|=![]()
因为![]()
所以![]()
所以![]()
所以![]()
当且仅当
时取“=”,
当k=0时,![]()
当AB的斜率不存在时,两个交点为
或![]()
所以此时![]()
综上,|AB|的取值范围为![]()
即
。
科目:高中数学 来源:山东省济宁市2012届高二下学期期末考试理科数学 题型:解答题
(本小题满分14分) 已知在平面直角坐标系xoy中的一个椭圆,它的中心在原
点,左焦![]()
(1)求该椭圆的标准方程;
(2)若P是椭圆上的动点,求线段PA中点M的轨迹方程;
(3)过原点O的直线交椭圆于点B、C,求△ABC面积的最大值。
查看答案和解析>>
科目:高中数学 来源:2012届山东省高二下学期期末考试理科数学 题型:解答题
(本小题满分14分) 已知在平面直角坐标系xoy中的一个椭圆,它的中心在原
。
(1)求该椭圆的标准方程;
(2)若P是椭圆上的动点,求线段PA中点M的轨迹方程;
(3)过原点O的直线交椭圆于点B、C,求△ABC面积的最大值。
查看答案和解析>>
湖北省互联网违法和不良信息举报平台 | 网上有害信息举报专区 | 电信诈骗举报专区 | 涉历史虚无主义有害信息举报专区 | 涉企侵权举报专区
违法和不良信息举报电话:027-86699610 举报邮箱:58377363@163.com