精英家教网 > 高中数学 > 题目详情
函数
(1)若f(x)在点(1,f(1))处的切线斜率为,求实数a的值;
(2)若f(x)在x=1取得极值,求函数f(x)的单调区间.
【答案】分析:(1)求出函数的导函数,把x=1代入导函数得到切线的斜率k,让k=即可得到a的值;
(2)由f(x)在x=1取得极值得到f′(1)=0,求出a的值,根据函数的定义域为x≠-1,分区间利用x的范围讨论导函数的正负,得到函数的单调区间.
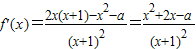
解答:解:(1)
若f(x)在点(1,f(1))处的切线斜率为,则
所以,,得a=1.
(2)因为f(x)在x=1处取得极值,
所以f'(1)=0,即1+2-a=0,a=3,

因为f(x)的定义域为{x|x≠-1},所以有:

所以,f(x)的单调递增区间是(-∞,-3),(1+∞),单调递减区间是(-3,-1),(-1,1).
点评:考查学生会利用导数研究曲线上某点的切线方程,会利用导数研究函数的单调性,会利用导数研究函数的极值.
练习册系列答案
相关习题

科目:高中数学 来源: 题型:

已知函数f(x)的图象在[a,b]上连续不断,定义:f1(x)=min{f(t)|a≤t≤x}(x∈[a,b]),f2(x)=max{f(t)|a≤t≤x}(x∈[a,b]).其中,min{f(x)|x∈D}表示函数f(x)在D上的最小值,max{f(x)|x∈D}表示函数f(x)在D上的最大值.若存在最小正整数k,使得f2(x)-f1(x)≤k(x-a)对任意的x∈[a,b]成立,则称函数f(x)为[a,b]上的“k阶收缩函数”.
(1)若f(x)=cosx,x∈[0,π],试写出f1(x),f2(x)的表达式;
(2)已知函数f(x)=x2,x∈[-1,4],试判断f(x)是否为[-1,4]上的“k阶收缩函数”,如果是,求出对应的k;如果不是,请说明理由;
(3)已知b>0,函数f(x)=-x3+3x2是[0,b]上的2阶收缩函数,求b的取值范围.

查看答案和解析>>

科目:高中数学 来源: 题型:

已知函数y=x+
t
x
有如下性质:如果常数t>0,那么该函数在(0,
t
]上是减函数,在[
t
,+∞)上是增函数.
(1)若f(x)=x+
a
x
,函数在(0,a]上的最小值为4,求a的值;
(2)对于(1)中的函数在区间A上的值域是[4,5],求区间长度最大的A(注:区间长度=区间的右端点-区间的左断点);
(3)若(1)中函数的定义域是[2,+∞)解不等式f(a2-a)≥f(2a+4).

查看答案和解析>>

科目:高中数学 来源: 题型:

若函数f(x),g(x)都在区间I上有定义,对任意x∈I,都有|f(x)-g(x)|≤1成立,则称函数f(x),g(x)为区间I上的“伙伴函数”.
(1)若f(x)=lgx,g(x)=lg(x+1)为区间[m,+∞)上的“伙伴函数”,求m的范围.
(2)判断f(x)=4x,g(x)=2x-1是否为区间(-∞,0]上的“伙伴函数”?
(3)若f(x)=x2+
12
,g(x)=kx为区间[1,2]上的“伙伴函数”,求k的取值范围.

查看答案和解析>>

科目:高中数学 来源: 题型:

已知函数f(x)=
1
3
x3+
1
2
ax2+x+b(a≥0)为函数f(x)的导函数.
(1)若f(x)在x=-3处取到极大值-2,求a,b的值;
(2)若函数g(x)=e-ax•f′(x),求函数g(x)的单调区间.

查看答案和解析>>

科目:高中数学 来源: 题型:

对定义在区间D上的函数f(x),若存在常数k>0,使对任意的x∈D,都有f(x+k)>f(x)成立,则称f(x)为区间D上的“k阶增函数”.
(1)若f(x)=x2为区间[-1,+∞)上的“k阶增函数”,则k的取值范围是
 

(2)已知f(x)是定义在R上的奇函数,且当x≥0,f(x)=|x-a2|-a2.若f(x)为R上的“4阶增函数”,则实数a的取值范围是
 

查看答案和解析>>

同步练习册答案