精英家教网 > 高中数学 > 题目详情

解关于x的不等式:mÎ R

答案:略
解析:

解:(1)m=1时,原不等式可化为2x40.∴当m=1时,

原不等式的解集是{x|x2}

(2)1m0时,即m1时,

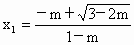
方程两根分别为

原不等式解集为

(3)1m0,即m1时,原不等式等价于

此时

∴当时,Δ>0

原不等式解集为

时,Δ≤0,原不等式解集为


练习册系列答案
相关习题

科目:高中数学 来源: 题型:

解关于x的不等式:
(m-1)x2+2mx-1
<x(其中m>0)

查看答案和解析>>

科目:高中数学 来源: 题型:

解关于x的不等式[(m+3)x-1](x+1)>0(m∈R).

查看答案和解析>>

科目:高中数学 来源: 题型:

m
=(
a-1
x-2
,2-a),
n
=(x,
1
x-2
)
,解关于x的不等式:
m
n
>0.(a∈R)

查看答案和解析>>

科目:高中数学 来源: 题型:

解关于x的不等式|2x+m|<xm(x∈R).

本题考查含有绝对值不等式的解法.解题关键是对m进行分类讨论.

查看答案和解析>>

科目:高中数学 来源:不详 题型:解答题

解关于x的不等式:
(m-1)x2+2
mx-1
<x(其中m>0)

查看答案和解析>>

同步练习册答案