精英家教网 > 高中数学 > 题目详情
22.

已知数列{an}的前n项和Sn满足Sn-Sn-2=3求数列{an}的通项公式.

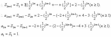
22.解:方法一:先考虑偶数项有:

… … …

同理考虑奇数项有:

… … …

综合可得

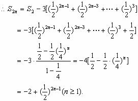
方法二:因为

两边同乘以,可得:

所以

… … …

    

 


练习册系列答案
相关习题

科目:高中数学 来源: 题型:

已知数列{an}的前n项和Sn+
an2
=3,n∈N*
,又bn是an与an+1的等差中项,求{bn}的前n项和Tn

查看答案和解析>>

科目:高中数学 来源: 题型:

已知数列{an}的前n项和为Sn,且Sn=n-2an-34,n∈N+
(1)证明:{an-1}是等比数列;
(2)求数列{Sn}的通项公式,并求出使得Sn+1>Sn成立的最小正整数n.

查看答案和解析>>

科目:高中数学 来源: 题型:

(2006•嘉定区二模)已知数列{an}的通项为an=2n-1,Sn是{an}的前n项和,则
lim
n→∞
a
2
n
Sn
=
4
4

查看答案和解析>>

科目:高中数学 来源: 题型:

(2007•长宁区一模)已知数列{an}的前n项和Sn=5-4×2-n,则其通项公式为
an=
3(n=1)
4
2n
(n≥2)
an=
3(n=1)
4
2n
(n≥2)

查看答案和解析>>

科目:高中数学 来源: 题型:

已知数列{an}的递推公式为
a1=2
an+1=3an+1
bn=an+
1
2
(n∈N*),
(1)求证:数列{bn}为等比数列;
(2)求数列{an}的通项公式.

查看答案和解析>>

同步练习册答案