精英家教网 > 高中数学 > 题目详情
已知函数f(x)=lnx-ax2+(2-a)x.
(I)讨论f(x)的单调性;
(Ⅱ)设a>0,证明:当0<x<时,f(+x)>f(-x);
(Ⅲ)若函数y=f(x)的图象与x轴交于A,B两点,线段AB中点的横坐标为x,证明:f′(x)<0.
【答案】分析:(I)求导,并判断导数的符号,确定函数的单调区间;(II)构造函数g(x)=f(+x)-f(-x),利用导数求函数g(x)当0<x<时的最小值大于零即可,(III)设出函数y=f(x)的图象与x轴交于A,B两点的横坐标,根据(I).(II)结论,即可证明结论.
解答:解:(I)函数f(x)的定义域为(0,+∞),
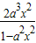
f′(x)==-
①若a>0,则由f′(x)=0,得x=,且当x∈(0,)时,f′(x)>0,
当x∈(,+∞)时,f′(x)<0,
所以f(x)在(0,)单调递增,在(,+∞)上单调递减;
②当a≤0时,f(x)>0恒 成立,因此f(x)在(0,+∞)单调递增;
(II)设函数g(x)=f(+x)-f(-x),则g(x)=ln(1+ax)-ln(1-ax)-2ax,
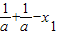
g′(x)==
当x∈(0,)时,g′(x)>0,而g(0)=0,
所以g(x)>0,
故当0<x<时,f(+x)>f(-x);
(III)由(I)可得,当a≤0时,函数y=f(x)的图象与x轴至多有一个交点,
故a>0,从而f(x)的最大值为f(),且f()>0,
不妨设A(x1,0),B(x2,0),0<x1<x2
则0<x1<x2
由(II)得,f(-x1)=f()>f(x1)=f(x2)=0,
又f(x)在(,+∞)单调递减,
-x1<x2,于是x=
由(I)知,f′( x)<0.
点评:此题是个难题.考查利用导数研究函数的单调性和求函数的最值问题,体现了分类讨论和转化的思想方法.考查了学生观察、推理以及创造性地分析问题、解决问题的能力.
练习册系列答案
相关习题

科目:高中数学 来源: 题型:

已知函数f(x)=2x-2+ae-x(a∈R)
(1)若曲线y=f(x)在点(1,f(1))处的切线平行于x轴,求a的值;
(2)当a=1时,若直线l:y=kx-2与曲线y=f(x)在(-∞,0)上有公共点,求k的取值范围.

查看答案和解析>>

科目:高中数学 来源: 题型:

已知函数f(x)=x2+2|lnx-1|.
(1)求函数y=f(x)的最小值;
(2)证明:对任意x∈[1,+∞),lnx≥
2(x-1)
x+1
恒成立;
(3)对于函数f(x)图象上的不同两点A(x1,y1),B(x2,y2)(x1<x2),如果在函数f(x)图象上存在点M(x0,y0)(其中x0∈(x1,x2))使得点M处的切线l∥AB,则称直线AB存在“伴侣切线”.特别地,当x0=
x1+x2
2
时,又称直线AB存在“中值伴侣切线”.试问:当x≥e时,对于函数f(x)图象上不同两点A、B,直线AB是否存在“中值伴侣切线”?证明你的结论.

查看答案和解析>>

科目:高中数学 来源: 题型:

已知函数f(x)=x2-bx的图象在点A(1,f(1))处的切线l与直线x+3y-1=0垂直,若数列{
1
f(n)
}的前n项和为Sn,则S2012的值为(  )

查看答案和解析>>

科目:高中数学 来源: 题型:

已知函数f(x)=xlnx
(Ⅰ)求函数f(x)的极值点;
(Ⅱ)若直线l过点(0,-1),并且与曲线y=f(x)相切,求直线l的方程.

查看答案和解析>>

科目:高中数学 来源: 题型:

已知函数f(x)=
3
x
a
+
3
(a-1)
x
,a≠0且a≠1.
(1)试就实数a的不同取值,写出该函数的单调增区间;
(2)已知当x>0时,函数在(0,
6
)上单调递减,在(
6
,+∞)上单调递增,求a的值并写出函数的解析式;
(3)记(2)中的函数图象为曲线C,试问是否存在经过原点的直线l,使得l为曲线C的对称轴?若存在,求出直线l的方程;若不存在,请说明理由.

查看答案和解析>>

同步练习册答案