精英家教网 > 高中数学 > 题目详情
已知函数f(x)=在x=1处取得极值2.
(1)求函数f(x)的表达式;
(2)当m满足什么条件时,函数f(x)在区间(m,2m+1)上单调递增?
【答案】分析:(1)由已知可得f′(1)=0,f(1)=2,从而可求得a,b.
(2)先利用导数求出f(x)的增区间,由条件可知(m,2m+1)为f(x)增区间的子集,从而可求得m所满足的条件.
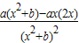
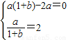
解答:解:(1)因为f′(x)=,而函数f(x)=在x=1处取得极值2,所以,即,解得
故f(x)=即为所求.
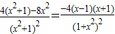
(2)由(1)知f′(x)=,令f′(x)>0,得-1<x<1,∴f(x)的单调增区间为[-1,1].
由已知得,解得-1<m≤0.
故当m∈(-1,0]时,函数f(x)在区间(m,2m+1)上单调递增.
点评:本题考查了函数的极值概念、利用导数研究函数的单调性,熟练掌握相关基础知识是解决问题的关键.
练习册系列答案
相关习题

科目:高中数学 来源: 题型:

已知函数f(x)定义在[-1,1]上,设g(x)=f(x-c)和h(x)=f(x-c2)两个函数的定义域分别为A和B,若A∩B=∅,则实数c的取值集合为
(-∞,-1)∪(2,+∞)
(-∞,-1)∪(2,+∞)

查看答案和解析>>

科目:高中数学 来源: 题型:

已知函数f(x)定义在(-1,1)上,对于任意的x,y∈(-1,1),有f(x)+f(y)=f(
x+y
1+xy
),且当x<0时,f(x)>0;
(1)验证函数f(x)=ln
1-x
1+x
是否满足这些条件;
(2)判断这样的函数是否具有奇偶性和其单调性,并加以证明;
(3)若f(-
1
2
)=1,试解方程f(x)=-
1
2

查看答案和解析>>

科目:高中数学 来源: 题型:

已知函数f(x)=ax在(O,2)内的值域是(a2,1),则函数y=f(x)的图象是(  )

查看答案和解析>>

科目:高中数学 来源: 题型:

已知函数f(x)定义在区间(-1,1)上,f(
1
2
)=-1
,对任意x,y∈(-1,1),恒有f(x)+f(y)=f(
x+y
1+xy
)
成立,又数列{an}满足a1=
1
2
an+1=
2a
1+
a
2
n

(I)在(-1,1)内求一个实数t,使得f(t)=2f(
1
2
)

(II)求证:数列{f(an)}是等比数列,并求f(an)的表达式;
(III)设cn=
n
2
bn+2,bn=
1
f(a1)
+
1
f(a2)
+
1
f(a3)
+…+
1
f(an)
,是否存在m∈N*,使得对任意n∈N*cn
6
7
lo
g
2
2
m-
18
7
log2m
恒成立?若存在,求出m的最小值;若不存在,请说明理由.

查看答案和解析>>

科目:高中数学 来源: 题型:

凸函数的性质定理为:如果函数f(x)在区间D上是凸函数,则对D内的任意x1,x2,…,xn都有
f(x1)+f(x2)+…+f(xn)
n
≤f(
x1+x2+…+xn
n
)
.已知函数f(x)=sinx在(0,π)上是凸函数,则
(1)求△ABC中,sinA+sinB+sinC的最大值.
(2)判断f(x)=2x在R上是否为凸函数.

查看答案和解析>>

同步练习册答案