精英家教网 > 高中数学 > 题目详情
在平面直角坐标系中,O(0,0),P(6,8),将向量按逆时针旋转后得向量,则点Q的坐标是   
【答案】分析:方法一:利用复数与向量的对应关系、运算性质及变换即可得出.
方法二:利用向量的模和夹角公式即可得出.
解答:解:方法一:所对应的复数=(6+8i)=(6+8i)=
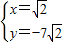
∴点Q的坐标是
故答案为
方法二:设Q(x,y),由题意可得,∴
===,∴,化为3x+4y=-25.
联立,解得
其中,不符合题意,应舍去.
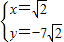
∴点Q的坐标是
故答案为
点评:熟练掌握①复数与向量的对应关系、运算性质及变换,②向量的模和夹角公式是解题的关键.
练习册系列答案
相关习题

科目:高中数学 来源: 题型:

在平面直角坐标系xOy中,以O为极点,x正半轴为极轴建立极坐标系,曲线C的极坐标方程为:pcos(θ-
π3
)=1
,M,N分别为曲线C与x轴,y轴的交点,则MN的中点P在平面直角坐标系中的坐标为
 

查看答案和解析>>

科目:高中数学 来源: 题型:

在平面直角坐标系中,A(3,0)、B(0,3)、C(cosθ,sinθ),θ∈(
π
2
2
)
,且|
AC
|=|
BC
|

(1)求角θ的值;
(2)设α>0,0<β<
π
2
,且α+β=
2
3
θ
,求y=2-sin2α-cos2β的最小值.

查看答案和解析>>

科目:高中数学 来源: 题型:

在平面直角坐标系中,如果x与y都是整数,就称点(x,y)为整点,下列命题中正确的是
 
(写出所有正确命题的编号).
①存在这样的直线,既不与坐标轴平行又不经过任何整点
②如果k与b都是无理数,则直线y=kx+b不经过任何整点
③直线l经过无穷多个整点,当且仅当l经过两个不同的整点
④直线y=kx+b经过无穷多个整点的充分必要条件是:k与b都是有理数
⑤存在恰经过一个整点的直线.

查看答案和解析>>

科目:高中数学 来源: 题型:

在平面直角坐标系中,下列函数图象关于原点对称的是(  )

查看答案和解析>>

科目:高中数学 来源: 题型:

在平面直角坐标系中,以点(1,0)为圆心,r为半径作圆,依次与抛物线y2=x交于A、B、C、D四点,若AC与BD的交点F恰好为抛物线的焦点,则r=
 

查看答案和解析>>

同步练习册答案