精英家教网 > 高中数学 > 题目详情
已知圆M过两点C(1,-1)、D(-1,1)且圆心M在直线x+y-2=0上.
(1)求圆M的方程;
(2)设P是直线3x+4y+8=0上的动点,PA、PB是圆M的两条切线,A、B为切点,求四边形PAMB的面积的最小值.
【答案】分析:(1)设出圆的标准方程,利用圆M过两点C(1,-1)、D(-1,1)且圆心M在直线x+y-2=0上,建立方程组,即可求圆M的方程;
(2)四边形PAMB的面积为S=2,因此要求S的最小值,只需求|PM|的最小值即可,即在直线3x+4y+8=0上找一点P,使得|PM|的值最小,利用点到直线的距离公式,即可求得结论.
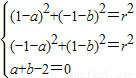
解答:解:(1)设圆M的方程为:(x-a)2+(y-b)2=r2(r>0),
根据题意得,解得:a=b=1,r=2,
故所求圆M的方程为:(x-1)2+(y-1)2=4;
(2)由题知,四边形PAMB的面积为S=S△PAM+S△PBM=(|AM||PA|+|BM||PB|).
又|AM|=|BM|=2,|PA|=|PB|,所以S=2|PA|,
而|PA|2=|PM|2-|AM|2=|PM|2-4,
即S=2
因此要求S的最小值,只需求|PM|的最小值即可,即在直线3x+4y+8=0上找一点P,使得|PM|的值最小,
所以|PM|min==3,所以四边形PAMB面积的最小值为2=2
点评:本题考查圆的标准方程,考查四边形面积的计算,考查学生分析解决问题的能力,属于中档题.
练习册系列答案
相关习题

科目:高中数学 来源: 题型:

已知圆M过两点C(1,-1),D (-1,1),且圆心M在x+y-2=0上
(1)求圆M的方程  
(2)设P是直线l:3x+4y+8=0上的动点,PA,PB是圆M的两条切线,A,B为切点,求四边形PAMB面积S的最小值 
(3)当S取最小值时,求直线AB的方程.

查看答案和解析>>

科目:高中数学 来源: 题型:

已知圆M过两点C(1,-1)、D(-1,1)且圆心M在直线x+y-2=0上.
(1)求圆M的方程;
(2)设P是直线3x+4y+8=0上的动点,PA、PB是圆M的两条切线,A、B为切点,求四边形PAMB的面积的最小值.

查看答案和解析>>

科目:高中数学 来源:2012-2013学年辽宁省五校协作体高三上学期期中考试文科数学试卷(解析版) 题型:解答题

(本小题满分10分)

已知圆M过两点C(1,-1)、D(-1,1)且圆心M在直线x+y-2=0上。

(1)、求圆M的方程

(2)、设P是直线3x+4y+8=0上的动点,PA、PB是圆M的两条切线,A、B为切点,求四边形PAMB的面积的最小值。

 

查看答案和解析>>

科目:高中数学 来源: 题型:解答题

已知圆M过两点C(1,-1)、D(-1,1)且圆心M在直线x+y-2=0上.
(1)求圆M的方程;
(2)设P是直线3x+4y+8=0上的动点,PA、PB是圆M的两条切线,A、B为切点,求四边形PAMB的面积的最小值.

查看答案和解析>>

科目:高中数学 来源:2012-2013学年黑龙江省鹤岗一中高二(上)期中数学试卷(文科)(解析版) 题型:解答题

已知圆M过两点C(1,-1)、D(-1,1)且圆心M在直线x+y-2=0上.
(1)求圆M的方程;
(2)设P是直线3x+4y+8=0上的动点,PA、PB是圆M的两条切线,A、B为切点,求四边形PAMB的面积的最小值.

查看答案和解析>>

同步练习册答案