精英家教网 > 高中数学 > 题目详情
在△ABC中,角A、B、C的对边分别为a、b、c,且acosA=bcosB.
(1)试判断△ABC的形状;
(2)若△ABC的面积为,且,求a.
【答案】分析:(1)由余弦定理利用条件acosA=bcosB可得a=b或c2=a2+b2,从而得到△ABC为等腰三角形或直角三角形.
(2)由及正弦定理求得,从而得到,进一步确定△ABC必为等腰三角形,根据
△ABC的面积 求出结果.
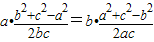
解答:解:(1)由余弦定理得acosA=bcosB可知
所以a2(b2+c2-a2)=b2(a2+c2-b2),
即(a2-b2)c2=(a2-b2)(a2+b2),(3分)
所以(a2-b2)(c2-a2-b2)=0,所以a=b或c2=a2+b2
所以△ABC为等腰三角形或直角三角形.(6分)
(2)由及正弦定理可得
而sinC>0,所以,所以,(8分)
结合(1)可知△ABC必为等腰三角形,且
故△ABC的面积
所以a=2.(12分)
点评:本题主要考查正弦定理、余弦定理的应用,三角形的内角和公式,判断三角形的形状的方法,属于中档题.
练习册系列答案
相关习题

科目:高中数学 来源: 题型:

在△ABC中,角A、B、C所对的边分别为a,b,c,若b2+c2-a2=
3
bc
,且b=
3
a
,则下列关系一定不成立的是(  )
A、a=c
B、b=c
C、2a=c
D、a2+b2=c2

查看答案和解析>>

科目:高中数学 来源: 题型:

在△ABC中,角A,B,C的对边分别为a,b,c,已知B=60°,cos(B+C)=-
1114

(1)求cosC的值;
(2)若bcosC+acosB=5,求△ABC的面积.

查看答案和解析>>

科目:高中数学 来源: 题型:

在△ABC中,角A,B,C的对边分别是a,b,c,且bsinA=
3
acosB

(1)求角B的大小;
(2)若a=4,c=3,D为BC的中点,求△ABC的面积及AD的长度.

查看答案和解析>>

科目:高中数学 来源: 题型:

在△ABC中,角A、B、C所对的边分别为a、b、c并且满足
b
a
=
sinB
cosA

(1)求∠A的值;
(2)求用角B表示
2
sinB-cosC
,并求它的最大值.

查看答案和解析>>

科目:高中数学 来源: 题型:

在△ABC中,角A,B,C所对边的长分别为a,b,c,且a=
5
,b=3,sinC=2sinA
,则sinA=
 

查看答案和解析>>

同步练习册答案