【答案】
分析:(Ⅰ)直接根据a
n和S
n的关系:a
n=S
n-S
n-1 (n≥2)求解数列的通项公式即可,要验证n=1时通项是否成立;
(Ⅱ)由n|a
n|=3n•2
n-1对数列{n|a
n|}用错位相减法求和即可得数列{T
n}的通项公式.
解答:解:(Ⅰ)a
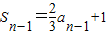
1=3,当n≥2时,

,
∴n≥2时,

,
∴n≥2时,

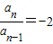
∴数列a
n是首项为a
1=3,公比为q=-2的等比数列,
∴a
n=3•(-2)
n-1,n∈N
*(Ⅱ)由(Ⅰ)知,n|a
n|=3n•2
n-1.
∴T
n=3(1+2•2
1+3•2
2+4•2
3++n•2
n-1)
2T
n=3(1•2
1+2•2
2+3•2
3++(n-1)•2
n-1+n•2
n)
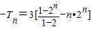
∴-T
n=3(1+2+2
2+2
3++2
n-1-n•2
n)
∴

∴T
n=3+3n•2
n-3•2
n点评:本题第一问考查了已知前n项和为S
n求数列{a
n}的通项公式,根据a
n和S
n的关系:a
n=S
n-S
n-1 (n≥2)求解数列的通项公式.另外,须注意公式成立的前提是n≥2,所以要验证n=1时通项是否成立,若成立则:a
n=S
n-S
n-1 (n≥1);若不成立,则通项公式为分段函数.