精英家教网 > 高中数学 > 题目详情
定义在(-1,1)上的函数f(x),对任意的x,y∈(-1,1)都有:;且当x∈(-∞,0)时,f(x)>0,回答下列问题:
(1)判断函数f(x)在(-1,1)的奇偶性,并说明理由;
(2)判断函数f(x)在(-1,1)的单调性,并说明理由;
(3)若,试求的值.
【答案】分析:(1)令x=y=0,y=-x,即可得出结论;
(2)利用函数单调性的证明步骤,可得结论;
(3)证明,代入计算,可得结论.
解答:解:(1)令x=y=0,则2f(0)=f(0),∴f(0)=0
令y=-x,∴f(0)=f(x)+f(-x)=0,∴f(-x)=-f(x)
∴f(x)是奇函数.    …4
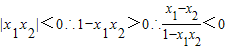
(2)任取x1,x2∈(-1,1)且设x1<x2

∵-1<x1<x2<1,∴x1-x2<0,则

∴函数在给定区间上递减.                …8
(3)

=1…12.
点评:本题考查函数的奇偶性、单调性,考查学生分析解决问题的能力,属于中档题.
练习册系列答案
相关习题

科目:高中数学 来源: 题型:

已知函数f(x)=
ax+b
1+x2
是定义在(-1,1)上的奇函数,且f(
1
2
)=
2
5

①求函数f(x)的解析式;
②判断函数f(x)在(-1,1)上的单调性并用定义证明;
③解关于x的不等式f(log2x-1)+f(log2x)<0.

查看答案和解析>>

科目:高中数学 来源: 题型:

已知函数f(x)为定义在(-1,1)上的奇函数,当x∈(0,1)时,f(x)=2x2-2x,求f(x)在(-1,1)上的解析式.

查看答案和解析>>

科目:高中数学 来源: 题型:

已知函数f(x)是定义在[-1,1]上的奇函数,且f(1)=1,若m、n∈[-1,1],m+n≠0,>0.

(1)证明f(x)在[-1,1]上是增函数;

(2)解不等式f(x+)<f().

查看答案和解析>>

科目:高中数学 来源:2012-2013学年山东省青岛市即墨一中高一(上)期中数学试卷(解析版) 题型:解答题

函数f(x)=是定义在(-1,1)的奇函数,且f()=
(1)确定f(x)的解析式;
(2)判断函数在(-1,1)上的单调性;
(3)解不等式f(t-1)+f(t)<0.

查看答案和解析>>

科目:高中数学 来源:2009-2010学年黑龙江省哈尔滨三中高一(上)段考数学试卷(解析版) 题型:解答题

函数f(x)=是定义在(-1,1)的奇函数,且f()=
(1)确定f(x)的解析式;
(2)判断函数在(-1,1)上的单调性;
(3)解不等式f(t-1)+f(t)<0.

查看答案和解析>>

同步练习册答案