精英家教网 > 高中数学 > 题目详情
已知函数f(x)=1-(a>0且a≠1)是定义在R上的奇函数.
(Ⅰ)求a的值;
(Ⅱ)求函数f(x)的值域;
(Ⅲ)当x∈[1,+∞)时,tf(x)≤2x-2恒成立,求实数t的取值范围.
【答案】分析:(Ⅰ)f(x)是奇函数,依定义f(-x)=-f(x),即,变形为(a-2)[2a2x+(a-2)ax+2]=0对任意x恒成立,a=2
(Ⅱ)由(Ⅰ)得,利用函数性质求出值域.
(Ⅲ)当x∈[1,+∞)时,tf(x)≤2x-2恒成立,得出(x≥1)恒成立,只需t小于等于设的最小值即可.
解答:解:(Ⅰ)∵f(x)是奇函数
∴f(-x)=-f(x)


即(a-2)[2a2x+(a-2)ax+2]=0对任意x恒成立,
∴a=2              …(4分)
(Ⅱ)∵
又∵2x>0,∴2x+1>1

∴函数f(x)的值域(-1,1)…(7分)
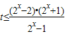
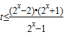
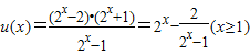
(Ⅲ)由题意得,当x≥1时,
恒成立,
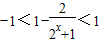
∵x≥1,∴2x≥2,
(x≥1)恒成立,…(9分)

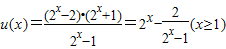
下证u(x)在当x≥1时是增函数.
任取x2>x1≥1,则=…(11分)
∴当x≥1时,u(x)是增函数,
∴u(x)min=u(1)=0
∴t≤u(x)min=u(1)=0
∴实数t的取值范围为t≤0.…(13分)
点评:本题考查函数的奇偶性,单调性,不等式恒成立含参数的取值范围.考查转化计算、推理论证,参数分离的方法与能力.
练习册系列答案
相关习题

科目:高中数学 来源: 题型:

已知函数f(x)=
1
|x|
,g(x)=1+
x+|x|
2
,若f(x)>g(x),则实数x的取值范围是(  )
A、(-∞,-1)∪(0,1)
B、(-∞,-1)∪(0,
-1+
5
2
)
C、(-1,0)∪(
-1+
5
2
,+∞)
D、(-1,0)∪(0,
-1+
5
2
)

查看答案和解析>>

科目:高中数学 来源: 题型:

已知函数f(x)=
1,x∈Q
0,x∉Q
,则f[f(π)]=(  )

查看答案和解析>>

科目:高中数学 来源: 题型:

已知函数f(x)=
1-x
ax
+lnx(a>0)

(1)若函数f(x)在[1,+∞)上为增函数,求实数a的取值范围;
(2)当a=1时,求f(x)在[
1
2
,2
]上的最大值和最小值;
(3)当a=1时,求证对任意大于1的正整数n,lnn>
1
2
+
1
3
+
1
4
+
+
1
n
恒成立.

查看答案和解析>>

科目:高中数学 来源: 题型:

已知函数f(x)=1+cos2x-2sin2(x-
π
6
),其中x∈R,则下列结论中正确的是(  )

查看答案和解析>>

科目:高中数学 来源: 题型:

已知函数f(x)=1+logax(a>0,a≠1),满足f(9)=3,则f-1(log92)的值是(  )

查看答案和解析>>

同步练习册答案