精英家教网 > 高中数学 > 题目详情
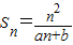
数列{an}的前n项和,若
(1)求数列{an}的前n项和Sn
(2)求数列{an}的通项公式;
(3)设,求数列{bn}的前n项和Tn
【答案】分析:(1)利用数列{an}的前n项和,建立方程,求出a,b的值,即可求数列{an}的前n项和Sn
(2)利用,再写一式,两式相减,即可求数列{an}的通项公式;
(3)求得数列{bn}的通项,利用裂项法即可求数列{bn}的前n项和Tn
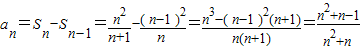
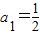
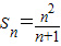
解答:解:(1)由,得,由,得
,解得,故;               …(4分)
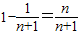
(2)当n≥2时,.…(7分)
由于也适合.                           …(8分)
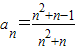
;                                         …(9分)
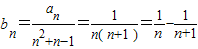
(3).                     …(10分)
∴数列{bn}的前n项和=.                                 …(14分)
点评:本题考查数列的通项与求和,考查裂项法的运用,考查学生的计算能力,属于中档题.
练习册系列答案
相关习题

科目:高中数学 来源: 题型:

设等比数列{an}的公比q≠1,Sn表示数列{an}的前n项的和,Tn表示数列{an}的前n项的乘积,Tn(k)表示{an}的前n项中除去第k项后剩余的n-1项的乘积,即Tn(k)=
Tn
ak
(n,k∈N+,k≤n),则数列
SnTn
Tn(1)+Tn(2)+…+Tn(n)
的前n项的和是
a12
2-q-q-1
(n+nq-
q-qn+1+1-q1-n
1-q
a12
2-q-q-1
(n+nq-
q-qn+1+1-q1-n
1-q
(用a1和q表示)

查看答案和解析>>

科目:高中数学 来源: 题型:

若数列{an}的通项an=
1
pn-q
,实数p,q满足p>q>0且p>1,sn为数列{an}的前n项和.
(1)求证:当n≥2时,pan<an-1
(2)求证sn
p
(p-1)(p-q)
(1-
1
pn
)

(3)若an=
1
(2n-1)(2n+1-1)
,求证sn
2
3

查看答案和解析>>

科目:高中数学 来源: 题型:

已知Sn是数列{an}的前n项和,an>0,Sn=
a
2
n
+an
2
,n∈N*
(1)求证:{an}是等差数列;
(2)若数列{bn}满足b1=2,bn+1=2an+bn,求数列{bn}的通项公式bn

查看答案和解析>>

科目:高中数学 来源: 题型:

(2012•商丘二模)数列{an}的前n项和为Sn,若数列{an}的各项按如下规律排列:
1
2
1
3
2
3
1
4
2
4
3
4
1
5
2
5
3
5
4
5
…,
1
n
2
n
,…,
n-1
n
,…有如下运算和结论:
①a24=
3
8

②数列a1,a2+a3,a4+a5+a6,a7+a8+a9+a10,…是等比数列;
③数列a1,a2+a3,a4+a5+a6,a7+a8+a9+a10,…的前n项和为Tn=
n2+n
4

④若存在正整数k,使Sk<10,Sk+1≥10,则ak=
5
7

其中正确的结论是
①③④
①③④
.(将你认为正确的结论序号都填上)

查看答案和解析>>

科目:高中数学 来源: 题型:

给出下列命题:
①若数列{an}的前n项和Sn=2n+1,则数列{an}为等比数列;
②在△ABC中,如果A=60°,a=
6
,b=4
,那么满足条件的△ABC有两解;
③设函数f(x)=x|x-a|+b,则函数f(x)为奇函数的充要条件是a2+b2=0;
④设直线系M:xcosθ+(y-2)sinθ=1(0≤θ≤2π),则M中的直线所能围成的正三角形面积都相等.
其中真命题的序号是

查看答案和解析>>

同步练习册答案