精英家教网 > 高中数学 > 题目详情
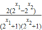
已知函数
(1)证明函数f(x)的奇偶性;
(2)利用函数单调性的定义证明:f(x)是其定义域上的增函数.
【答案】分析:(1)已知函数,根据奇函数和偶函数的性质,判断f(-x)与f(x)的关系,从而进行判断;
(2)从R上任取x1、x2,设x1<x2,则△x=x2-x1,再判断f(x1)-f(x2)与0的关系,用定义法进行证明;
解答:解:(1)∵2x+1≠0,
∴f(x)的定义域为R,关于原点对称.       …(2分)
又∵
∴f(x)为奇函数
(2)∵
从R上任取x1、x2,设x1<x2
则△x=x2-x1….(6分)
==…(10分)

,又
∴f(x1)-f(x2)<0,
∴f(x1)<f(x2)…(11分)
∴f(x)在其定义域R上是增函数                                    …(12分)
点评:此题主要考查奇函数的性质及其应用,以及用定义法证明函数的单调性,此题是一道基础题;
练习册系列答案
相关习题

科目:高中数学 来源: 题型:

已知函数其中

(1)证明函数f(x)的图像在y轴的一侧;

(2)求函数的图像的公共点的坐标。

查看答案和解析>>

科目:高中数学 来源:2012-2013学年浙江省温州市瓯海中学高一(上)12月月考数学试卷(解析版) 题型:解答题

已知函数
(1)证明f(x)为奇函数;
(2)判断f(x)的单调性,并用定义加以证明;
(3)求f(x)的值域.

查看答案和解析>>

科目:高中数学 来源:2010-2011学年河北省高三期中考试理科数学卷 题型:解答题

已知函数

(1)证明:对定义域内的所有x,都有

(2)当fx)的定义域为[a+, a+1]时,求fx)的值域。.

(3)设函数g(x) = x2+| (xafx) | , 若,求g(x)的最小值.

 

查看答案和解析>>

科目:高中数学 来源:2010年湖北省高一期中考试数学试卷 题型:解答题

(本小题满分12分)已知函数

(1)证明f(x)为奇函数;

(2)判断f(x)的单调性,并用定义加以证明;

 

查看答案和解析>>

科目:高中数学 来源:2010年河南省郑州外国语学校高一上学期期中考试数学卷 题型:解答题

(本题8分)已知函数

(1)证明上是减函数;

(2)当时,求的最小值和最大值.

 

查看答案和解析>>

同步练习册答案