精英家教网 > 高中数学 > 题目详情
F1,F2分别是椭圆的左右焦点,直线l与C相交于A,B两点
(1)直线l斜率为1且过点F1,若|AF2|,|AB|,|BF2|成等差数列,,求a值
(2)若直线l方程为y=2x+2,且OA⊥OB,求a值.
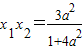
【答案】分析:(1)设椭圆半焦距为c,则l方程为y=x+c;设A(x1,y1),B(x2,y2),由|AF2|,|AB|,|BF2|成等差数列,知,所以(1+a2)x2+2a2cx+a2(a2-2)=0,再由韦达定理能够得到a值.
(2)联立直线l与椭圆方程:,(1+4a2)x2+8a2x+3a2=0,再由韦达定理能够得到a值.
解答:解:(1)设椭圆半焦距为c,则l方程为y=x+c;
设A(x1,y1),B(x2,y2),
∵|AF2|,|AB|,|BF2|成等差数列,
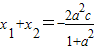
⇒(1+a2)x2+2a2cx+a2(a2-2)=0,


解得…(6分)
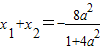
(2)联立直线l与椭圆方程:⇒(1+4a2)x2+8a2x+3a2=0,

∵OA⊥OB,
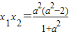
∴x1x2+y1y2=0⇒5x1x2+4(x1+x2)+4=0
代入得
…(12分)
点评:本题考查直线和圆锥曲线的综合问题,解题时要注意椭圆性质的灵活运用和等差数列的合理运用,同时要注意韦达定理的合理运用.
练习册系列答案
相关习题

科目:高中数学 来源: 题型:

已知椭圆
x2
9
+
y2
5
=1
,F1,F2分别是椭圆的左、右焦点,点A(1,1)为椭圆内一点,点P为椭圆上一点,则|PA|+|PF1|的最大值为(  )

查看答案和解析>>

科目:高中数学 来源: 题型:

设椭圆C:
x2
a2
+
y2
b2
=1(a>b>0)
的一个顶点与抛物线C:x2=4
3
y
的焦点重合,F1,F2分别是椭圆的左、右焦点,且离心率e=
1
2
且过椭圆右焦点F2的直线l与椭圆C交于M、N两点.
(1)求椭圆C的方程;
(2)是否存在直线l,使得
OM
ON
=-2
.若存在,求出直线l的方程;若不存在,说明理由.
(3)若AB是椭圆C经过原点O的弦,MN∥AB,求证:
|AB|2
|MN|
为定值.

查看答案和解析>>

科目:高中数学 来源: 题型:

已知F1、F2分别是椭圆
x2
4
+
y2
3
=1的左、右焦点,曲线C是坐标原点为顶点,以F2为焦点的抛物线,过点F1的直线l交曲线C于x轴上方两个不同点P、Q,点P关于x轴的对称点为M,设
F1P
=λ
F1Q

(I)若λ∈[2,4],求直线L的斜率k的取值范围;
(II)求证:直线MQ过定点.

查看答案和解析>>

科目:高中数学 来源: 题型:

(2009•南汇区二模)设F1、F2分别是椭圆
x2
a2
+
y2
b2
=1(a>b>0)
的左、右焦点,其右焦点是直线y=x-1与x轴的交点,短轴的长是焦距的2倍.
(1)求椭圆的方程;
(2)若P是该椭圆上的一个动点,求
PF1
PF2
的最大值和最小值;
(3)是否存在过点A(5,0)的直线l与椭圆交于不同的两点C、D,使得|F2C|=|F2D|?若存在,求直线l的方程;若不存在,请说明理由.

查看答案和解析>>

科目:高中数学 来源: 题型:

(2009•普陀区一模)设F1,F2分别是椭圆
x2
9
+
y2
4
=1
的左、右焦点.若点P在椭圆上,且|
PF1
+
PF2
|=2
5
,则向量
PF1
与向量
PF2
的夹角的大小为
90°
90°

查看答案和解析>>

同步练习册答案