精英家教网 > 高中数学 > 题目详情
椭圆(a>b>0)与直线x+y=1交于P、Q两点,且OP⊥OQ,其中O为坐标原点.
(1)求的值;
(2)若椭圆的离心率e满足≤e≤,求椭圆长轴的取值范围.
【答案】分析:(1)设P(x1,y1),Q(x2,y2)由OP⊥OQ 可得 x 12+y1 y 2=0结合y1=1-x1,y2=1-x2可得2x1x2-(x1+x2)+1=0,将y=1-x代入可得(a2+b2)x2-2a2x+a2(1-b2)=0则代入整理可求
(2))由 及   可求a得范围
解答:解:设P(x1,y1),Q(x2,y2)由OP⊥OQ 可得 x 12+y1 y 2=0(2分)
∵y1=1-x1,y2=1-x2
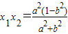
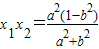
∴2x1x2-(x1+x2)+1=0①又将y=1-x代入可得(a2+b2)x2-2a2x+a2(1-b2)=0
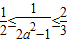
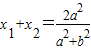
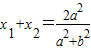
∵△>0∴(4分)
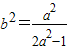
代入①化简得 .(6分)
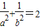
(2)∵

(8分)
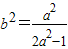
又由(1)知   (9分)
,(11分)
∴长轴 2a∈[].(12分)
点评:本题主要考查了直线与圆锥曲线的位置关系的应用,方程的思想的应用圆锥曲线的性质的应用,属于性质的应用,要求具备一定的综合应用知识的能力.
练习册系列答案
相关习题

科目:高中数学 来源:2013届广东省实验学校高二下学期3月月考文科数学(解析版) 题型:选择题

已知椭圆(a>b>0)与双曲线有公共的焦点,C2的一条渐近线与以C1的长轴为直径的圆相交于两点.若C1恰好将线段三等分,则

(A)a2 =        (B)a2=13         (C)b2=      (D)b2=2

 

查看答案和解析>>

科目:高中数学 来源:2011年高考试题数学文(浙江卷)解析版 题型:选择题

 已知椭圆(a>b>0)与双曲线有公共的焦点,C2的一条渐近线与C1C2的长度为直径的圆相交于两点.若C1恰好将线段三等分,则

(A)a2 =          (B)a2=13          (C)b2=       (D)b2=2

 

查看答案和解析>>

科目:高中数学 来源:2009-2010学年度新课标高三下学期数学单元测试4-文科 题型:选择题

 (2009年济南模拟)已知椭圆(a>b>0)与双曲线(m>0,n>0)有相同的焦点(-c,0)和(c,0),若c是a、m的等比中项,n2是2m2与c2的等差中项,则椭圆的离心率是              (    ) 

    A.     B.     C.       D.

 

查看答案和解析>>

科目:高中数学 来源:2012-2013学年福建省莆田一中高二(上)期中数学试卷(理科)(解析版) 题型:解答题

椭圆(a>b>0)与直线x+y=1交于P、Q两点,且OP⊥OQ,其中O为坐标原点.
(1)求的值;
(2)若椭圆的离心率e满足≤e≤,求椭圆长轴的取值范围.

查看答案和解析>>

科目:高中数学 来源:2012-2013学年河南省信阳市新县高中高二(上)12月月考数学试卷(理科)(解析版) 题型:选择题

椭圆(a>b>0)与圆(c为椭圆半焦距)有四个不同交点,则离心率的取值范围是( )
A.
B.
C.
D.

查看答案和解析>>

同步练习册答案