精英家教网 > 高中数学 > 题目详情
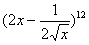
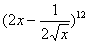
对于的展开式,
求(1)各项系数之和;
(2)奇数项系数之和;
(3)偶数项系数之和。
解:(1 )设f(x)=
则f(1)=
的展开式中各项系数之和为
(2)设g(x)=
则g(1)=,  
∵f(x)的展开式与g(x)的展开式中的奇数项对应系数相等,
偶数项对应系数互为相反数,
的展开式中的奇数项系数之和,

的展开式中奇数项系数之和为
(3)同(2),知
的展开式中偶数项系数之和。
练习册系列答案
相关习题

科目:高中数学 来源: 题型:

对于二项式(1-x)10,求:
(1)求展开式中的二项式系数和;
(2)展开式的中间项是第几项?写出这一项;
(3)求展开式中除常数项外,其余各项的系数和.

查看答案和解析>>

科目:高中数学 来源: 题型:

对于二项式(1-x)10.求:
(1)展开式的中间项是第几项?写出这一项;
(2)求展开式中除常数项外,其余各项的系数和;
(3)写出展开式中系数最大的项.

查看答案和解析>>

科目:高中数学 来源:黄冈中学 高二数学(下册)、考试卷10 排列、组合、二项式定理与概 题型:044

设m,,m、n≥1,的展开式中,x的系数为19.

(1)求f(x)展开式中的系数的最值;

(2)对于使f(x)中的系数取最小值时的m、n的值,求的系数.

查看答案和解析>>

科目:高中数学 来源:2010年新疆农七师高级中学高二第二学期第二阶段考试数学(理)试题 题型:解答题

(本题满分12分)对于二项式(1-x10, 求:

(1)展开式的中间项是第几项?写出这一项;

(2)求展开式中各项的系数的绝对值的和;

 

查看答案和解析>>

同步练习册答案