精英家教网 > 高中数学 > 题目详情
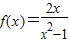
用定义证明:在(-1,1)上单调递减.
【答案】分析:用单调性的定义证明步骤:(1)取值,(2)作差,(3)化简,(4)判号,(5)得结论.
解答:解:在(-1,1)上任取两实数x1,x2,且x1<x2
则f(x1)-f(x2)==
因为-1<x1<x2<1,所以-1<x1•x2<1,x1•x2+1>0,
x2-x1>0,x1+1>0,x1-1<0,x2+1>0,x2-1<0,
所以f(x1)-f(x2)>0,即f(x1)>f(x2),
所以在(-1,1)上单调递减.
点评:本题考察函数单调性的证明,主体部分是化简和判号,要细心.
练习册系列答案
相关习题

科目:高中数学 来源: 题型:

已知函数f(x)=
ax-1
且此函数图象过点(2,1)
(Ⅰ)求实数a的值;
(Ⅱ)用定义证明函数在(1,+∞)上的单调性.

查看答案和解析>>

科目:高中数学 来源: 题型:

已知函数f(x)=
2x+1x+1

(I)用定义证明函数在区间[1,+∞)是增函数;
(II)求该函数在区间[2,4]上的最大值与最小值.

查看答案和解析>>

科目:高中数学 来源:2012-2013学年福建省三明九中高一(上)期中数学试卷(普通班)(解析版) 题型:解答题

已知函数f(x)=且此函数图象过点(2,1)
(Ⅰ)求实数a的值;
(Ⅱ)用定义证明函数在(1,+∞)上的单调性.

查看答案和解析>>

科目:高中数学 来源:2012-2013学年福建省三明九中高一(上)期中数学试卷(普通班)(解析版) 题型:解答题

已知函数f(x)=且此函数图象过点(2,1)
(Ⅰ)求实数a的值;
(Ⅱ)用定义证明函数在(1,+∞)上的单调性.

查看答案和解析>>

科目:高中数学 来源: 题型:解答题

用定义证明:数学公式在(-1,1)上单调递减.

查看答案和解析>>

同步练习册答案