精英家教网 > 高中数学 > 题目详情
已知{an}为等差数列,且a3=-6,a6=0.
(Ⅰ)求{an}的通项公式;
(Ⅱ)若等比数列{bn}满足b1=-8,b2=a1+a2+a3,求数列{bn}的前n项和公式.
【答案】分析:(Ⅰ)设出等差数列的公差为d,然后根据第三项为-6,第六项为0利用等差数列的通项公式列出方程解出a1和d即可得到数列的通项公式;
(Ⅱ)根据b2=a1+a2+a3和an的通项公式求出b2,因为{bn}为等比数列,可用求出公比,然后利用首项和公比写出等比数列的前n项和的公式.
解答:解:(Ⅰ)设等差数列{an}的公差d.
因为a3=-6,a6=0
所以解得a1=-10,d=2
所以an=-10+(n-1)•2=2n-12

(Ⅱ)设等比数列{bn}的公比为q
因为b2=a1+a2+a3=-24,b1=-8,
所以-8q=-24,即q=3,
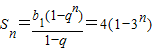
所以{bn}的前n项和公式为
点评:考查学生会根据条件求出等差数列的通项公式和等比数列的前n项和的公式,此题是一道基础题.
练习册系列答案
相关习题

科目:高中数学 来源: 题型:

已知命题:“在等差数(an)中,若4a2+a10+a(  )=24,则S11为定值”为真命题,由于印刷问题,括号处的数模糊不清,可推得括号内的数为
 

查看答案和解析>>

科目:高中数学 来源: 题型:

已知等差数an的前n项和为SnS10=
3
0
(1+3x)dx
,则a5+a6=(  )

查看答案和解析>>

科目:高中数学 来源: 题型:

已知等差数到{an}中,a1=120,公差d=-4,Sn为其前n项和,若Sn≤an(n≥2).则n的最小值为(    )

A.60                  B.62              C.70               D.72

查看答案和解析>>

科目:高中数学 来源:不详 题型:填空题

已知命题:“在等差数(an)中,若4a2+a10+a(  )=24,则S11为定值”为真命题,由于印刷问题,括号处的数模糊不清,可推得括号内的数为______.

查看答案和解析>>

科目:高中数学 来源:2009年江苏省苏州市高三教学调研数学试卷(解析版) 题型:解答题

已知命题:“在等差数(an)中,若4a2+a10+a( )=24,则S11为定值”为真命题,由于印刷问题,括号处的数模糊不清,可推得括号内的数为   

查看答案和解析>>

同步练习册答案