精英家教网 > 高中数学 > 题目详情
i为虚数单位,则的值是( )
A.-i
B.i
C.1
D.-1
【答案】分析:利用复数代数形式的除法运算化简括号内部的值,然后利用虚数单位i的性质运算.
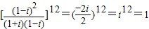
解答:解:=
故选C.
点评:本题考查了复数代数形式的混合运算,考查了复数的运算性质,是基础题.
练习册系列答案
相关习题

科目:高中数学 来源: 题型:

(2010•福建模拟)已知(a-i)(3-i)为纯虚数,a∈R,i为虚数单位,则的值为(  )

查看答案和解析>>

科目:高中数学 来源:2013届北京市高二下学期期中测试文科数学试卷(解析版) 题型:选择题

. i为虚数单位,则的值是

    A. –i       B. i                     C. 1        D. -1

 

查看答案和解析>>

科目:高中数学 来源:2010年福建省厦门市高二下学期质量检测(文科)数学卷 题型:填空题

已知i为虚数单位,则的值为      

 

查看答案和解析>>

科目:高中数学 来源:2011-2012学年湖南省衡阳八中高三(上)第四次月考数学试卷(理科)(解析版) 题型:填空题

设复数z的共轭复数为,若z=1-i(i为虚数单位)则的值为   

查看答案和解析>>

同步练习册答案