精英家教网 > 高中数学 > 题目详情
已知函数f(x)=x3+ax2+bx+c在x=-与x=1时都取得极值
(1)求a、b的值与函数f(x)的单调区间.
(2)若对x∈[-1,2],不等式f(x)<c2恒成立,求c的取值范围.
【答案】分析:(1)求出f′(x),因为函数在x=-与x=1时都取得极值,所以得到f′(-)=0且f′(1)=0联立解得a与b的值,然后把a、b的值代入求得f(x)及f′(x),然后讨论导函数的正负得到函数的增减区间;
(2)根据(1)函数的单调性,由于x∈[-1,2]恒成立求出函数的最大值值为f(2),代入求出最大值,然后令f(2)<c2列出不等式,求出c的范围即可.
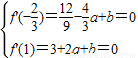
解答:解;(1)f(x)=x3+ax2+bx+c,f'(x)=3x2+2ax+b
解得,
f'(x)=3x2-x-2=(3x+2)(x-1),函数f(x)的单调区间如下表:
x(-∞,--(-,1)1(1,+∞)
f′(x)+-+
f(x)极大值极小值
所以函数f(x)的递增区间是(-∞,-)和(1,+∞),递减区间是(-,1).
(2)
当x=-时,f(x)=+c为极大值,而f(2)=2+c,所以f(2)=2+c为最大值.
要使f(x)<c2对x∈[-1,2]恒成立,须且只需c2>f(2)=2+c.
解得c<-1或c>2.
点评:考查学生利用导数研究函数极值的能力,利用导数研究函数单调性的能力,以及理解函数恒成立时所取到的条件.
练习册系列答案
相关习题

科目:高中数学 来源: 题型:

精英家教网已知函数f(x)=Asin(ωx+φ)(x∈R,A>0,ω>0,|φ|<
π
2
)的部分图象如图所示,则f(x)的解析式是(  )
A、f(x)=2sin(πx+
π
6
)(x∈R)
B、f(x)=2sin(2πx+
π
6
)(x∈R)
C、f(x)=2sin(πx+
π
3
)(x∈R)
D、f(x)=2sin(2πx+
π
3
)(x∈R)

查看答案和解析>>

科目:高中数学 来源: 题型:

(2012•深圳一模)已知函数f(x)=
1
3
x3+bx2+cx+d
,设曲线y=f(x)在与x轴交点处的切线为y=4x-12,f′(x)为f(x)的导函数,且满足f′(2-x)=f′(x).
(1)求f(x);
(2)设g(x)=x
f′(x)
 , m>0
,求函数g(x)在[0,m]上的最大值;
(3)设h(x)=lnf′(x),若对一切x∈[0,1],不等式h(x+1-t)<h(2x+2)恒成立,求实数t的取值范围.

查看答案和解析>>

科目:高中数学 来源: 题型:

(2011•上海模拟)已知函数f(x)=(
x
a
-1)2+(
b
x
-1)2,x∈(0,+∞)
,其中0<a<b.
(1)当a=1,b=2时,求f(x)的最小值;
(2)若f(a)≥2m-1对任意0<a<b恒成立,求实数m的取值范围;
(3)设k、c>0,当a=k2,b=(k+c)2时,记f(x)=f1(x);当a=(k+c)2,b=(k+2c)2时,记f(x)=f2(x).
求证:f1(x)+f2(x)>
4c2
k(k+c)

查看答案和解析>>

科目:高中数学 来源:上海模拟 题型:解答题

已知函数f(x)=(
x
a
-1)2+(
b
x
-1)2,x∈(0,+∞)
,其中0<a<b.
(1)当a=1,b=2时,求f(x)的最小值;
(2)若f(a)≥2m-1对任意0<a<b恒成立,求实数m的取值范围;
(3)设k、c>0,当a=k2,b=(k+c)2时,记f(x)=f1(x);当a=(k+c)2,b=(k+2c)2时,记f(x)=f2(x).
求证:f1(x)+f2(x)>
4c2
k(k+c)

查看答案和解析>>

科目:高中数学 来源:深圳一模 题型:解答题

已知函数f(x)=
1
3
x3+bx2+cx+d
,设曲线y=f(x)在与x轴交点处的切线为y=4x-12,f′(x)为f(x)的导函数,且满足f′(2-x)=f′(x).
(1)求f(x);
(2)设g(x)=x
f′(x)
 , m>0
,求函数g(x)在[0,m]上的最大值;
(3)设h(x)=lnf′(x),若对一切x∈[0,1],不等式h(x+1-t)<h(2x+2)恒成立,求实数t的取值范围.

查看答案和解析>>

同步练习册答案