精英家教网 > 高中数学 > 题目详情

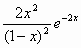
已知函数f(x)=

(1)设a>0,讨论y=f(x)的单调性;

(2)若对任意x∈(0,1)恒有f(x)>1,求a的取值范围.

答案:
解析:

  解:(1)f(x)的定义域为(-∞,1)∪(1,+∞).对f(x)求导数得

  (x)=

  (ⅰ)当a=2时,(x)=

  (x)在(-∞,0),(0,1)和(1,+∞)均大于0,

  所以f(x)在(-∞,1),(1,+∞)为增函数.

  (ⅱ)当0<a<2时,(x)>0,f(x)在(-∞,1),(1,+∞)为增函数.

  (ⅲ)当a>2时,

  令(x)=0,解得x1,x2

  当x变化时,(x)和f(x)的变化情况如下表:

  f(x)在(-∞,),(,1),(1,+∞)为增函数,f(x)在()为减函数.

  (2)(ⅰ)当0<a≤2时,由(1)知:对任意x∈(0,1)恒有

  f(x)>f(0)=1.

  (ⅱ)当a>2时,取x0∈(0,1),则由(1)知f(x0)<f(0)=1.

  (ⅲ)当a≤0时,对任意x∈(0,1),恒有>1且e-ax≥1,得

  f(x)=e-ax>1.

  综上当且仅当a∈(-∞,2]时,对任意x∈(0,1)恒有f(x)>1.


练习册系列答案
相关习题

科目:高中数学 来源:2011届南京市金陵中学高三第四次模拟考试数学试题 题型:解答题

(本小题满分16分)已知函数f(x)=ax2-(2a+1)x+2lnx(a为正数).
(1) 若曲线y=f(x)在x=1和x=3处的切线互相平行,求a的值;
(2) 求f(x)的单调区间;
(3) 设g(x)=x2-2x,若对任意的x1∈(0,2],均存在x2∈(0,2],使得f(x1)<g(x2),求实数a的取值范围.

查看答案和解析>>

科目:高中数学 来源:2010-2011学年浙江省杭州市高三上学期开学考试数学卷 题型:选择题

已知函数f(x)=4x2mx+5在区间[-2,+∞)上是增函数,则f(1)的范围是(  )

A.f(1)≥25         B.f(1)=25     C.f(1)≤25         D.f(1)>25

 

查看答案和解析>>

科目:高中数学 来源:2010-2011学年湖南省高三第三次月考文科数学卷 题型:选择题

已知函数f(x)=若f(a)=,则a=                 (  )

A.-1                      B.

C.-1或                 D.1或-

 

查看答案和解析>>

科目:高中数学 来源:2010-2011学年湖北省天门市高三天5月模拟文科数学试题 题型:填空题

  已知函数f(x)=ax2+bx+c(a≠0),且f(x)=x无实根,下列命题中:

    (1)方程f [f (x)]=x一定无实根;

    (2)若a>0,则不等式f [f (x)]>x对一切实数x都成立;

    (3)若a<0,则必存在实数x0,使f [f (x0)]>x0;

    (4)若a+b+c=0,则不等式f [f (x)]<x对一切x都成立;

    正确的序号有          .              

 

查看答案和解析>>

科目:高中数学 来源:2012届江西省南昌市高三第一次模拟测试卷理科数学试卷 题型:选择题

已知函数f(x)=|lg(x-1)|-()x有两个零点x1x2,则有

A.x1x2<1    B.x1x2<x1x2

C.x1x2x1x2    D.x1x2>x1x2

 

 

查看答案和解析>>

同步练习册答案