精英家教网 > 高中数学 > 题目详情
已知函数,f(x)=x,
(Ⅰ) 求函数F(x)=g(x)-2•f(x)的极大值点与极小值点;
(Ⅱ) 若函数F(x)=g(x)-2•f(x)在[et,+∞)(t∈Z)上有零点,求t的最大值(e为自然对数的底数);
(Ⅲ) 设(n∈N*),试问数列{bn}中是否存在相等的两项?若存在,求出所有相等的两项;若不存在,请说明理由.
【答案】分析:(Ⅰ)先把f(x)=x,代入F(x)=g(x)-2•f(x),求出F(x)解析式,再利用导数求极大值点与极小值点.
(Ⅱ)由(1)可求出数列的几个单调区间,分别考虑函数在每个单调区间上是否有零点即可求出[et,+∞)(t∈Z)的可能情况,进而,求t的最大值.
(Ⅲ)先根据(n∈N*),以及f(x)=x,求出数列{bn}的通项公式,再根据导数,判断数列{bn}是先增后减的,再求出数列递增的几项,与后面项相比较,就可判断是否存在相等的两项.
解答:解:(Ⅰ)由题知:的定义域为(0,+∞)

∴函数F(x)的单调递增区间为,F(x)的单调递减区间为
所以为F(x)的极大值点,x=2为F(x)的极小值点.
(Ⅱ)∵F(x)在x∈上的最小值为F(2)
且F(2)=
∴F(x)在x∈上没有零点,
∴函数F(x)在[et,+∞)(t∈Z)上有零点,并考虑到F(x)在单调递增且在单调递减,故只须且F(et)≤0即可,易验证,当t≤-2且t∈Z时均有F(et)<0,所以函数F(x)在[et,e-1)(t∈Z)上有零点,
即函数F(x)在[et,+∞)(t∈Z)上有零点,∴t的最大值为-2.
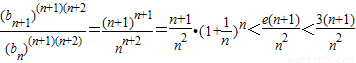
(Ⅲ)利用导数易证,当x>0时,所以.  因为,所以
,得:n2-3n-3>0,结合n∈N*得:n≥4
因此,当n≥4时,有
所以当n≥4时,bn>bn+1,即:b4>b5>b6>…,
又通过比较b1、b2、b3、b4的大小知:b1<b2<b3<b4
因为b1=1,且n≠1时,所以若数列{bn}中存在相等的两项,只能是b2、b3与后面的项可能相等,又,所以数列{bn}中存在唯一相等的两项,
即:b2=b8
点评:本题前两问考查了利用导数求极值和最值,第三问考查导数与数列相结合的问题,综合性强,需认真解答.
练习册系列答案
相关习题

科目:高中数学 来源: 题型:

已知函数y=f(x)的反函数.定义:若对给定的实数a(a≠0),函数y=f(x+a)与y=f-1(x+a)互为反函数,则称y=f(x)满足“a和性质”;若函数y=f(ax)与y=f-1(ax)互为反函数,则称y=f(x)满足“a积性质”.
(1)判断函数g(x)=x2+1(x>0)是否满足“1和性质”,并说明理由;
(2)求所有满足“2和性质”的一次函数;
(3)设函数y=f(x)(x>0)对任何a>0,满足“a积性质”.求y=f(x)的表达式.

查看答案和解析>>

科目:高中数学 来源: 题型:

17、已知函数y=f(x)和y=g(x)在[-2,2]的图象如图所示,则方程f[g(x)]=0有且仅有
6
个根;方程f[f(x)]=0有且仅有
5
个根.

查看答案和解析>>

科目:高中数学 来源: 题型:

(2012•上海)已知函数y=f(x)的图象是折线段ABC,其中A(0,0)、B(
1
2
,5)、C(1,0),函数y=xf(x)(0≤x≤1)的图象与x轴围成的图形的面积为
5
4
5
4

查看答案和解析>>

科目:高中数学 来源: 题型:

已知函数y=f(x),x∈R,有下列4个命题:
①若f(1+2x)=f(1-2x),则y=f(x)的图象关于直线x=1对称;
②y=f(x-2)与y=f(2-x)的图象关于直线x=2对称;
③若y=f(x)为偶函数,且y=f(2+x)=-f(x),则y=f(x)的图象关于直线x=2对称;
④若y=f(x)为奇函数,且f(x)=f(-x-2),则y=f(x)的图象关于直线x=1对称.
其中正确命题的个数为(  )

查看答案和解析>>

科目:高中数学 来源: 题型:

已知函数y=f(x)是奇函数,当x>0时,f(x)=x3+1.设f(x)的反函数是y=g(x),则g(-28)=
-3
-3

查看答案和解析>>

同步练习册答案