精英家教网 > 高中数学 > 题目详情

设函数f(x)=x2b ln(x+1),其中b≠0.

(Ⅰ)当b时,判断函数f(x)在定义域上的单调性;

(Ⅱ)求函数f(x)的极值点;

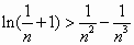
(Ⅲ)证明对任意的正整数n,不等式ln()都成立.

答案:
解析:

  (I)函数的定义域为

  

  令,则上递增,在上递减,

  

  当时,

  上恒成立.

  

  即当时,函数在定义域上单调递增.

  (II)分以下几种情形讨论:

  (1)由(I)知当时函数无极值点.

  (2)当时,

  时,

  时,

  时,函数上无极值点.

  (3)当时,解得两个不同解

  当时,

  

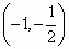
  此时上有唯一的极小值点

  当时,

  都大于0 ,上小于0 ,

  此时有一个极大值点和一个极小值点

  综上可知,时,上有唯一的极小值点

  时,有一个极大值点和一个极小值点

  时,函数上无极值点.

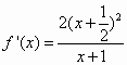
  (III) 当时,

  令

  上恒正,

  上单调递增,当时,恒有

  即当时,有

  对任意正整数,取


练习册系列答案
相关习题

科目:高中数学 来源: 题型:

设函数f(x)=x2mx(m∈R),则下列命题中的真命题是                        (  ).

A.任意m∈R,使yf(x)都是奇函数

B.存在m∈R,使yf(x)是奇函数

C.任意m∈R,使yf(x)都是偶函数

D.存在m∈R,使yf(x)是偶函数

查看答案和解析>>

科目:高中数学 来源: 题型:

设函数f(x)=x2-1+cosx(a>0).

(1)当a=1时,证明:函数yf(x)在(0,+∞)上是增函数;

(2)若yf(x)在(0,+∞)上是单调增函数,求正数a的范围.

查看答案和解析>>

科目:高中数学 来源:2012-2013学年四川省高三10月月考理科数学试卷(解析版) 题型:选择题

 对实数a和b,定义运算“⊕”:a⊕b=设函数f(x)=(x2-2)⊕(x-x2),x∈R,若函数y=f(x)-c的图象与x轴恰有两个公共点,则实数c的取值范围是

A.(-∞,-2]∪            B.(-∞,-2]∪

C.               D.

 

查看答案和解析>>

科目:高中数学 来源:2010-2011学年黑龙江省高三上学期期末考试数学理卷 题型:解答题

、(12分)设函数f(x) = x2+bln(x+1),

(1)若对定义域的任意x,都有f(x)≥f(1)成立,求实数b的值;

(2)若函数f(x)在定义域上是单调函数,求实数b的取值范围;

(3)若b=-1,证明对任意的正整数n,不等式成立;

 

查看答案和解析>>

科目:高中数学 来源:2010-2011学年湖南省十二校高三第一次联考数学文卷 题型:填空题

设函数f(x)=x2+3,对任意x∈[1,+∞),f()+m2f(x)≥f(x-1)+3f(m)恒成立,则实数m的取值范围是             .


 

查看答案和解析>>

同步练习册答案