精英家教网 > 高中数学 > 题目详情
已知双曲线C的焦点分别为F1(-2,0),F2(2,0),一条渐近线方程为,过F1的直线l交双曲线于A,B两点.
(1)写出C的方程;
(2)若A,B分别在左右两支,求直线l斜率的取值范围;
(3)若直线l斜率为1,求△ABF2的周长.
【答案】分析:(1)设双曲线方程,利用双曲线C的焦点分别为F1(-2,0),F2(2,0),一条渐近线方程为,求出几何量,即可得到双曲线方程;
(2)设直线方程,代入双曲线方程,利用韦达定理及根的判别式,即可求直线l斜率的取值范围;
(3)直线l交左支于A,B两点,利用双曲线的定义,即可求△ABF2的周长.
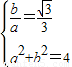
解答:解:(1)设双曲线方程为(a>0,b>0),则
∴a2=3,b2=1
∴双曲线方程为
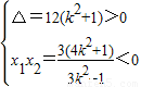
(2)设直线方程为y=k(x+2),代入双曲线方程,可得(3k2-1)x2+12k2x+12k2+3=0
∵A,B分别在左右两支,
,∴,∴
(3)由题意,直线l交左支于A,B两点,则
,即△ABF2的周长8
点评:本题考查双曲线的标准方程,考查直线与双曲线的位置关系,考查双曲线的定义,考查学生的计算能力,属于中档题.
练习册系列答案
相关习题

科目:高中数学 来源: 题型:

(理) 在平面直角坐标系中,已知双曲线C的中心在原点,它的一个焦点坐标为(
5
,0)
e1
=(2,1)
e2
=(2,-1)
分别是两条渐近线的方向向量.任取双曲线C上的点P,其中
op
=m
e1
+n
e2
(m,n∈R),则m,n满足的一个等式是
4mn=1
4mn=1

查看答案和解析>>

科目:高中数学 来源: 题型:

(08年龙岩一中冲刺文)(分)已知双曲线C的中心在原点,焦点在x轴上,右准线为一条渐近线的方程是过双曲线C的右焦点F2的一条弦交双曲线右支于P、Q两点,R是弦PQ的中点.

   (1)求双曲线C的方程;

   (2)若A、B分别是双曲C上两条渐近线上的动点,且2|AB|=|F1F2|,求线段AB的中点M的迹方程,并说明该轨迹是什么曲线。

   (3)若在双曲线右准线L的左侧能作出直线m:x=a,使点R在直线m上的射影S满足,当点P在曲线C上运动时,求a的取值范围.

查看答案和解析>>

科目:高中数学 来源: 题型:

(本题满分16分)本题共有3个小题,第1小题满分4分,第2小题满分4分,第3小题满分8分。

已知双曲线C的中心是原点,右焦点为F,一条渐近线m:,设过点A的直线l的方向向量

(1)求双曲线C的方程;

(2)若过原点的直线,且al的距离为,求K的值;

(3)证明:当时,在双曲线C的右支上不存在点Q,使之到直线l的距离为

查看答案和解析>>

科目:高中数学 来源:不详 题型:填空题

(理) 在平面直角坐标系中,已知双曲线C的中心在原点,它的一个焦点坐标为(
5
,0)
e1
=(2,1)
e2
=(2,-1)
分别是两条渐近线的方向向量.任取双曲线C上的点P,其中
op
=m
e1
+n
e2
(m,n∈R),则m,n满足的一个等式是______.

查看答案和解析>>

科目:高中数学 来源:2013年安徽省高考数学模拟试卷(解析版) 题型:填空题

(理) 在平面直角坐标系中,已知双曲线C的中心在原点,它的一个焦点坐标为分别是两条渐近线的方向向量.任取双曲线C上的点P,其中(m,n∈R),则m,n满足的一个等式是   

查看答案和解析>>

同步练习册答案