精英家教网 > 高中数学 > 题目详情
已知a1=2,点(an,an+1)在函数f(x)=x2+2x的图象上,其中n=1,2,3,…
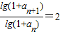
(1)证明数列{lg(1+an)}是等比数列;
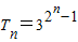
(2)设Tn=(1+a1)(1+a2)…(1+an),求Tn及数列{an}的通项;
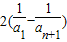
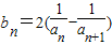
(3)记,求数列{bn}的前n项Sn,并证明
【答案】分析:(1)把点(an,an+1)代入函数式,整理得an+1+1=(an+1)2,两边取对数整理得,进而判断{lg(1+an)}是公比为2的等比数列.
(2)根据等比数列的通项公式求的数列{lg(1+an)}的通项公式,进而求的an代入到Tn=(1+a1)(1+a2)(1+an)求的Tn
(3)把(2)求的an代入到,用裂项法求和求得项,又,原式得证.
解答:解:(Ⅰ)由已知an+1=an2+2an
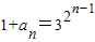
∴an+1+1=(an+1)2
∵a1=2
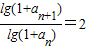
∴an+1>1,两边取对数得lg(1+an+1)=2lg(1+an),

∴{lg(1+an)}是公比为2的等比数列.
(Ⅱ)由(Ⅰ)知lg(1+an)=2n-1•lg(1+a1)=

∴Tn=(1+a1)(1+a2)(1+an)===
(Ⅲ)∵an+1=an2+2an
∴an+1=an(an+2)




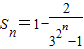
∴Sn=b1+b2++bn==




点评:本题主要考查了等比关系的确定和数列的求和问题.考查了学生对数列知识的综合掌握.
练习册系列答案
相关习题

科目:高中数学 来源: 题型:

下列给出的四个命题中:
①已知数列{an},那么对任意的n∈N*,点Pn(n,an)都在直线y=2x+1上是{an}为等差数列的充分不必要条件;
②“m=-2”是“直线(m+2)x+my+1=0与直线(m-2)x+(m+2)y-3=0相互垂直”的必要不充分条件;
③设圆x2+y2+Dx+Ey+F=0与坐标轴有4个交点,分别为A(x1,0),B(x2,0),C(0,y1),D(0,y2),则x1x2-y1y2=0;
④在实数数列{an}中,已知a1=0,|a2|=|a1-1|,|a3|=|a2-1|,…,|an|=|an-1-1|,则a1+a2+a3+a4的最大值为2.
其中为真命题的是
 
(写出所有真命题的代号).

查看答案和解析>>

科目:高中数学 来源: 题型:

已知:α⊥β,α∩β=l,A∈α,B∈β,点A在直线l上的射影为A1,点B在l上的射影为B1,已知AB=2,AA1=1,BB1=
2

求:二面角A1-AB-B1的大小的正弦值.

查看答案和解析>>

科目:高中数学 来源: 题型:

(2012•烟台二模)设向量
a
=(a1,a2),
b
=(b2,b2),定义一种向量
a
?
b
=(a1,a2)?(b1,b2)=(a1b2,a2b2).已知
m
=(2,
1
2
),
n
=(
π
3
,0)
,点,(x,y)在y=sin x的图象上运动,点Q在y=f(x)的图象上运动且满足
OQ
=
m
?
OP
+
n
(其中O为坐标原点),则y=f(x)的最大值为(  )

查看答案和解析>>

科目:高中数学 来源: 题型:

(1)如图,∠PAQ是直角,圆O与AP相切于点T,与AQ相交于两点B,C.求证:BT平分∠OBA
(2)若点A(2,2)在矩阵M=
.
cosα-sinα
sinαcosα
.
对应变换的作用下得到的点为B(-2,2),求矩阵M的逆矩阵;
(3)在极坐标系中,A为曲线ρ2+2ρcosθ-3=0上的动点,B为直线ρcosθ+ρsinθ-7=0上的动点,求AB的最小值;
(4)已知a1,a2…an都是正数,且a1•a2…an=1,求证:(2+a1)(2+a2)…(2+an)≥3n

查看答案和解析>>

科目:高中数学 来源: 题型:

已知函数f(x)=
x
x2+1

(1)求出函数y=f(x)的单调区间;
(2)当x∈(-
3
4
,+∞)
时,证明函数y=f(x)图象在点(
1
3
3
10
)
处切线的下方;
(3)利用(2)的结论证明下列不等式:“已知a,b,c∈(-
3
4
,+∞)
,且a+b+c=1,证明:
a
a2+1
+
b
b2+1
+
c
c2+1
9
10
”;
(4)已知a1,a2,…,an是正数,且a1+a2+…+an=1,借助(3)的证明猜想
n
k=1
ak
a
2
k
+1
的最大值.(只指出正确结论,不要求证明)

查看答案和解析>>

同步练习册答案