精英家教网 > 高中数学 > 题目详情
对于数列{an},定义{△an}为数列{an}的一等差数列,其中△an=an+1-an(n∈N*),
(1)若数列{an}通项公式,求{△an}的通项公式;
(2)若数列{an}的首项是1,且满足△an-an=2n,①证明:数列为等差数列;②求{an}的前n项和Sn
【答案】分析:(1)把依据数列的通项公式把an和an+1代入△an=an+1-an,进而求得{△an}的通项公式.
(2)①把△an=an+1-an代入△an-an=2n,等式两边同时除以2n+1,得,进而证出数列为等差数列.
②通过Sn-2Sn即错位相减法,进而求得和Sn
解答:解(1)依题△an=an+1-an

(2)i)由△an-an=2n,即an+1-an-an=2n,即an+1=2an+2n


所以数列是以为首项,为公差的等差数列.
ii)由i)得

∴Sn=a1+a2+a3+an=1•2+2•21++n•2n-1,①
∴2Sn=1•21+2•22++n•2n
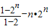
①-②得-Sn=1+2+22++2n-1-n•2n=
∴Sn=n•2n-2n+1=(n-1)•2n+1.
点评:本题主要考查了等差数列的通项公式及求和公式的应用.等差数列的公式多,繁杂,所以平时应注意多积累.
练习册系列答案
相关习题

科目:高中数学 来源: 题型:

已知函数f(x)=x2+(a-3)x+a2-3a(a为常数).
(1)如果对任意x∈[1,2],f(x)>a2恒成立,求实数a的取值范围;
(2)设实数p,q,r满足:p,q,r中的某一个数恰好等于a,且另两个恰为方程f(x)=0的两实根,判断①p+q+r,②p2+q2+r2,③p3+q3+r3是否为定值?若是定值请求出:若不是定值,请把不是定值的表示为函数g(a),并求g(a)的最小值;
(3)对于(2)中的g(a),设H(a)=-
16
[g(a)-27]
,数列{an}满足an+1=H(an)(n∈N*),且a1∈(0,1),试判断an+1与an的大小,并证明之.

查看答案和解析>>

科目:高中数学 来源: 题型:

已知函数f(x)=log3
3
x
1-x
,M(x1y1),N(x2y2)
是f(x)图象上的两点,横坐标为
1
2
的点P满足2
OP
=
OM
+
ON
(O为坐标原点).
(1)求证:y1+y2为定值;
(2)若Sn=f(
1
n
)+f(
2
n
)+…+f(
n-1
n
)
,其中n∈N*,n≥2令an=
1
6
,n=1
1
4(Sn+1)(Sn+1+1)
,n≥2
,其中n∈N*,Tn为数列{an}的前n项和,若Tn<m(Sn+1+1)对一切n∈N*都成立,试求m的取值范围.
(3)对于给定的实数a(a>1)是否存在这样的数列{an},使得f(an)=log3(
3
an+1)
,且a1=
1
a-1
?若存在,求出a满足的条件;若不存在,请说明理由.

查看答案和解析>>

科目:高中数学 来源:湖北模拟 题型:解答题

已知函数f(x)=x2+(a-3)x+a2-3a(a为常数).
(1)如果对任意x∈[1,2],f(x)>a2恒成立,求实数a的取值范围;
(2)设实数p,q,r满足:p,q,r中的某一个数恰好等于a,且另两个恰为方程f(x)=0的两实根,判断①p+q+r,②p2+q2+r2,③p3+q3+r3是否为定值?若是定值请求出:若不是定值,请把不是定值的表示为函数g(a),并求g(a)的最小值;
(3)对于(2)中的g(a),设H(a)=-
1
6
[g(a)-27]
,数列{an}满足an+1=H(an)(n∈N*),且a1∈(0,1),试判断an+1与an的大小,并证明之.

查看答案和解析>>

科目:高中数学 来源:2010年5月湖北省襄樊五中高考数学模拟试卷(文科)(解析版) 题型:解答题

已知函数f(x)=x2+(a-3)x+a2-3a(a为常数).
(1)如果对任意x∈[1,2],f(x)>a2恒成立,求实数a的取值范围;
(2)设实数p,q,r满足:p,q,r中的某一个数恰好等于a,且另两个恰为方程f(x)=0的两实根,判断①p+q+r,②p2+q2+r2,③p3+q3+r3是否为定值?若是定值请求出:若不是定值,请把不是定值的表示为函数g(a),并求g(a)的最小值;
(3)对于(2)中的g(a),设,数列{an}满足an+1=H(an)(n∈N*),且a1∈(0,1),试判断an+1与an的大小,并证明之.

查看答案和解析>>

科目:高中数学 来源:2010年江苏省扬州市宝应县曹甸高级中学高考数学模拟试卷(解析版) 题型:解答题

已知函数f(x)=x2+(a-3)x+a2-3a(a为常数).
(1)如果对任意x∈[1,2],f(x)>a2恒成立,求实数a的取值范围;
(2)设实数p,q,r满足:p,q,r中的某一个数恰好等于a,且另两个恰为方程f(x)=0的两实根,判断①p+q+r,②p2+q2+r2,③p3+q3+r3是否为定值?若是定值请求出:若不是定值,请把不是定值的表示为函数g(a),并求g(a)的最小值;
(3)对于(2)中的g(a),设,数列{an}满足an+1=H(an)(n∈N*),且a1∈(0,1),试判断an+1与an的大小,并证明之.

查看答案和解析>>

同步练习册答案